时间:2020-03-23 23:12:29
1、选择题 美国宇航局2008年6月20日宣布火星探测器“凤凰”号已经找到火星表面存在水冰的证据,美国宇航局希望借助这一发现,继续探索火星上是否存在过生命。下面与水相关的叙述不正确的是
[? ]
A.借助水冰的证据探索火星表面是否存在过生命是因为生命活动离不开水
B.衰老细胞内的水分减少,新陈代谢的速率减慢
C.越冬或休眠的植物体内自由水与结合水的比值上升
D.观察叶绿体时,藓类临时装片中的叶片要随时保持有水状态
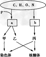
2、选择题 图示中a 、b 为小分子生命物质,甲、乙、丙代表大分子生命物质。下列相关叙述不正确的是
[? ]
A.在噬菌体、HIV和SARS病毒体内,a都只有4种
B.甲、乙可共存于大肠杆菌的细胞质基质中
C.连接两个a和两个b之间的化学键不同
D.在某人的神经细胞和浆细胞中,甲、乙一般相同,丙不同
3、选择题 下列选项中,含有相同元素的一组化合物是
[? ]
4、选择题 把一小块生物组织粉碎后进行化学分析,得到水、蛋白质、纤维素等,由此可判断该生物组织是
[? ]
A.小麦的
B.家兔的
C.鱼类的
D.蝗虫的
5、选择题 下列有关细胞中的有机物说法正确的是
[? ]
答案及详细解析请点下一页查看。