时间:2020-01-30 19:25:19
1、选择题 T细胞具有短期保护(效应T细胞)和长期保护(记忆T细胞)的分工:短期保护的T细胞带有“战士”的蛋白分子标记;长期保护的T细胞则带有“记忆细胞”的蛋白分子标记。下列叙述中,正确的是
[? ]
A.T细胞在胸腺中发育成熟,受抗原刺激后可以产生效应T细胞
B.T细胞分化产生的效应T细胞能与侵入细胞内的抗原结合,将其杀死
C.记忆T细胞再次受到相同抗原刺激后,能够迅速产生大量的抗体
D.记忆T细胞能够呈递抗原并激活靶细胞内的溶酶体酶
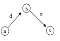
2、选择题 下图表示人体和人体细胞内某些信息传递机制的模式图,图示中箭头表示信息的传递方向。下列有关叙述中,正确的是
[? ]
A.如果该图表示反射弧,则其中的信息都以局部电流的形式传导
B.如果该图中的a为下丘脑、b为垂体、c为甲状腺,则 c分泌的甲状腺激素对a分泌d、b分泌e具有抑制作用
C.如果该图表示细胞中遗传信息的表达过程,则d过程只发生于细胞核中
D.如果a表示抗原、b表示吞噬细胞和T细胞,c为B细胞,则该过程为体液免疫
3、选择题 下列有关稳态与调节的叙述正确的是
[? ]
A.人体内环境是由血液、组织液和淋巴组成的
B.神经递质由突触前膜合成并释放
C.免疫系统受损使患癌症的几率大大提高
D.胰岛素和胰高血糖素相互协同作用,共同维持血糖含量的稳定
4、选择题 病毒侵入人体后,血液中会出现相应的抗体。抗体的基本组成单位及合成抗体的细胞器分别是
[? ]
5、选择题 酿脓链球菌反复感染人体可引起风湿性心脏病。其主要原因是
[? ]
答案及详细解析请点下一页查看。