时间:2020-01-20 00:56:11
1、选择题 人患急性胃肠炎,往往会有抽搐的症状,原因是
[? ]
A.失水过多
B.炎症造成人体吸收糖类减少
C.炎症造成人体吸收Ca2+
D.炎症造成人体吸收氨基酸减少
参考答案:C
本题解析:
本题难度:简单
2、选择题 水和无机盐的平衡对内环境稳态具有重要意义,下列关于人体内水盐平衡的叙述,正确的是
[? ]
A.Na+对维持细胞内液渗透压起决定性作用
B.K+排出的特点是多吃多排,少吃少排,不吃不排
C.无机盐主要经肾脏随尿液排出体外
D.肾脏排尿的意义只是排出体内多余的水分
参考答案:C
本题解析:
本题难度:简单
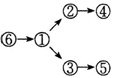
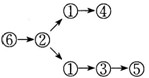
3、选择题 当人吃了过咸的食物时,机体将发生以下调节过程:
①下丘脑渗透压感受器兴奋;②大脑皮层兴奋并产生渴觉;③下丘脑神经分泌细胞合成、垂体释放的抗利 尿激素增加;④摄水量增加;⑤减少尿的排出;⑥血浆渗透压升高。用字母和箭头连接起来的正确调节顺序是
[? ]
A.⑥→①→②→③→④→⑤
B.⑥→②→①→④→③→⑤
C.
D.
参考答案:C
本题解析:
本题难度:一般
4、选择题 下图为人体对体温与水平衡的调节的示意图,下列叙述不正确的是
[? ]
A.当受到寒冷刺激时,①②③④过程均会增强
B.③激素分泌增多,可以使机体产热量增加,若分泌过多则会抑制①②的分泌
C.由图可知人体对体温与水平衡的调节主要是体液调节的结果
D.垂体后叶释放的激素⑤是由下丘脑神经细胞产生的
参考答案:C
本题解析:
本题难度:一般
5、选择题 通常情况下,人体饮水增多或缺水时的变化有
[? ]
A.饮水多,集合管对水的通透性降低,尿中尿素的浓度降低
B.饮水少,集合管对水的通透性提高,尿中尿素的浓度降低
C.饮水多,血液中抗利尿激素的浓度降低,尿中尿素的浓度提高
D.饮水少,血液中抗利尿激素的浓度提高,尿中尿素的浓度提高
参考答案:AD
本题解析:
本题难度:一般