高中生物知识点总结《细胞的减数分裂》在线测试(2019年最新版)(六)

时间:2019-06-29 07:23:14

微信搜索关注"91考试网"公众号,领30元,获取事业编教师公务员等考试资料40G

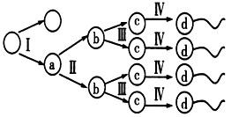
1、选择题  下图表示基因型为AaBb的某哺乳动物产生生殖细胞的过程,相关说法错误的是

[? ]
A.Ⅰ过程表示细胞进行有丝分裂
B.细胞中染色体数目减少一半是通过Ⅱ过程实现的
C.一个a细胞经过减数分裂形成的c细胞必定有4种基因型
D.该哺乳动物为雄性个体



2、选择题  同源染色体是指
[? ]
A.形状和大小都相同的2个染色体
B.着丝点分裂后形成的2个染色体
C.减数分裂中配对的2个染色体 
D.来自父方和母方的两个染色体



3、选择题  减数分裂过程中,染色体的变化行为是?
[? ]

A.复制→分离→联会→分裂
B.联会→复制→分离→分裂
C.联会→复制→分裂→分离
D.复制→联会→分离→分裂




4、选择题  对性腺组织细胞进行荧光标记,等位基因A、a都被标记为黄色,等位基因B、b都被标记为绿色,在荧光显微镜下观察处于四分体时期的细胞。下列有关推测合理的是
[? ]
A.若这2对基因在1对同源染色体上,则有1个四分体中出现2个黄色、2个绿色荧光点
B.若这2对基因在1对同源染色体上,则有1个四分体中出现4个黄色、4个绿色荧光点
C.若这2对基因在2对同源染色体上,则有1个四分体中出现2个黄色、2个绿色荧光点
D.若这2对基因在2对同源染色体上,则有1个四分体中出现4个黄色、4个绿色荧光点



5、连线题  下图是某一生物个体的细胞分裂示意图。请回答以下问题

(1)若图中Ⅰ、Ⅱ两细胞存在于该生物的同一器官中,则该器官是____________。
(2)若图Ⅰ中的2和6表示两个Y染色体,则此图Ⅰ可以表示的细胞是?_________,该细胞处于_______分裂的_________期。
(3)图Ⅱ所示细胞名称是__________,该细胞中①和②互称为__________。



答案及详细解析请点下一页查看。


首页 上页 5 6 7 下页 尾页 6/10/10
微信搜索关注"91考试网"公众号,领30元,获取公务员事业编教师考试资料40G
【省市县地区导航】【考试题库导航】
 ★ 高考省级导航 ★ 
全国 A安徽 B北京 C重庆 F福建 G广东 广西 甘肃 贵州 H河南 河北 湖南 湖北 黑龙江 海南 J江苏 江西 吉林 L辽宁 N内蒙古 宁夏 Q青海 S山东 山西 陕西 四川 上海 T天津 X新疆 西藏 Y云南 Z浙江
 ★ 高考信息汇总 ★ 
 ★ 高考历年真题 ★ 
 ★ 高考历年真题 ★ 
 ★ 高考题库 ★ 
 ★ 高考题库 ★ 

电脑版  |  手机版  |  返回顶部