高中生物知识点总结《伴性遗传》高频试题强化练习(2019年最新版)(十)

时间:2019-06-29 06:50:58

微信搜索关注"91考试网"公众号,领30元,获取事业编教师公务员等考试资料40G

1、选择题  男性的性染色体不可能来自
[? ]
A.外祖母
B.外祖父
C.祖母
D.祖父


参考答案:C


本题解析:


本题难度:简单



2、选择题  某男孩患血友病,他的父母、祖父母、外祖父母均表现正常。这个男孩的致病基因来源于
[? ]
A.外祖母→母亲→男孩
B.外祖父→母亲→男孩
C.祖母→父亲→男孩
D.祖父→父亲→男孩


参考答案:A


本题解析:


本题难度:简单



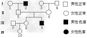
3、连线题  下图是某家系红绿色盲病遗传的图解,据图回答:(等位基因用B和b表示)

(1)Ⅱ5的基因型是_______________;Ⅲ8的基因型是_______________。
(2)Ⅲ9的色盲基因来自于Ⅰ代中的第____号。
(3)Ⅱ5与Ⅱ6若再生一个孩子,患病的概率是____________。
(4)Ⅳ10为红绿色盲携带者的概率是____________。


参考答案:(1)XBY;XBXB或XBXb
(2)3
(3)1/4
(4)1/4


本题解析:


本题难度:一般



4、选择题  对人来说,子代的性别主要决定于亲代的
[? ]
A.卵细胞
B.精子
C.性激素
D.促性腺激素


参考答案:B


本题解析:


本题难度:简单



5、选择题  下列有关性别决定的叙述,正确的是?

[? ]


A.XY型性别决定的生物,Y染色体都比X染色体短小
B.同型性染色体决定雌性个体的现象在自然界中比较普遍
C.含X染色体的配子是雌配子,含Y染色体的配子是雄配子
D.各种生物细胞中的染色体都可分为性染色体和常染色体


参考答案:B


本题解析:


本题难度:一般




首页 上页 9 10 下页 尾页 10/10/10
微信搜索关注"91考试网"公众号,领30元,获取公务员事业编教师考试资料40G
【省市县地区导航】【考试题库导航】
 ★ 高考省级导航 ★ 
全国 A安徽 B北京 C重庆 F福建 G广东 广西 甘肃 贵州 H河南 河北 湖南 湖北 黑龙江 海南 J江苏 江西 吉林 L辽宁 N内蒙古 宁夏 Q青海 S山东 山西 陕西 四川 上海 T天津 X新疆 西藏 Y云南 Z浙江
 ★ 高考信息汇总 ★ 
 ★ 高考历年真题 ★ 
 ★ 高考历年真题 ★ 
 ★ 高考题库 ★ 
 ★ 高考题库 ★ 

电脑版  |  手机版  |  返回顶部