时间:2019-06-28 09:00:58
1、选择题 下列有关遗传病的叙述正确的是
[? ]
A.先天性愚型、猫叫综合征属于染色体结构异常遗传病
B.单基因遗传病是由一个基因控制的遗传病
C.若父亲患病,女儿全部患病,该病最可能是X染色体上的显性遗传病
D.先天性疾病都是遗传病
2、选择题 对某先天性无汗症患者的家族进行遗传学调查后,得到了整个家族的遗传系谱图(见下图)。据此做出的判断正确的是

[? ]
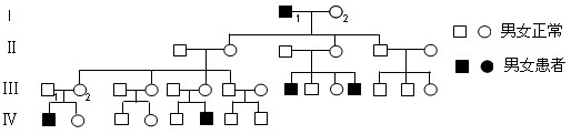
3、选择题 某种遗传病受一对等位基因控制,下图为该遗传病的系谱图。下列叙述正确的是:
[?]
A.该病为常染色体隐性遗传病,Ⅲ2为杂合子
B.该病为伴X染色体显性遗传病,Ⅱ4为纯合子
C.该病为伴X染色体隐性遗传病,Ⅱ1为纯合子
D.该病为常染色体显性遗传病,Ⅱ3为纯合子
4、选择题 下图是人类某种病的系谱图(该病受一对基因控制)则其最可能的遗传方式是 
[? ]
A.X染色体显性遗传
B.常染色体显性遗传
C.X染色体隐性遗传
D.常染色体隐性遗传
5、选择题 下列关于人类遗传病的叙述不正确的是
[? ]
A.人类遗传病是指由于遗传物质改变而引起的疾病
B.人类遗传病包括单基因遗传病、多基因遗传病和染色体异常遗传病
C.21三体综合征患者体细胞中常染色体数目为47条
D.多基因遗传病是指由多对基因控制的人类遗传病
答案及详细解析请点下一页查看。