时间:2019-06-28 08:36:27
1、选择题 下列有关人体调节的图解或曲线中,正确的是
[? ]
A.
B.
C.
D.
2、选择题 当人体内缺碘时,分泌明显增加的激素是
[? ]
A.促甲状腺激素
B.甲状腺激素
C.肾上腺素
D.盐皮质激素
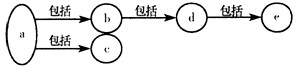
3、选择题 下图表示概念间的相互关系,下列概念依次与a、b、c、d、e不相对应的一组是
[? ]
A.染色体、DNA、蛋白质、基因、脱氧核糖核苷酸
B.物质出入细胞、被动运输、主动运输、自由扩散、O2进出细胞
C.生命活动调节、免疫调节、体液调节、反射弧、突触
D.具有细胞结构的生物、原核生物、真核生物、蓝藻、颤藻
4、选择题 下图表示甲状腺激素分泌的分级调节。对这一调节的叙述错误的是
[? ]
A.甲与乙结构分别表示下丘脑和垂体
B.a与b物质分别表示促甲状腺激素释放激素和促甲状腺激素
C.乙结构的活动只受甲结构释放的激素的调节
D.血液中的甲状腺激素含量起着反馈调节的作用
5、填空题 北京地区的生殖季节是4~6月,在一年中的其他一月份,要从促进卵的成熟和排放,可用人工评选方法,向已怀卵雌蛙腹腔内注射蛙垂体悬浮液。表中列出了某些月份,制备注射到每只青蛙体内的雌蛙垂体悬浮液所需的垂体个数。
请回答问题:
(1)表中显示,越接近生殖季节,所需垂体个数越少,从蛙卵的程度看,其原因是____________。
(2)雌蛙垂体悬浮液中含有的_________可作用于卵巢,促进蛙卵的成熟和排放。
(3)如果向怀卵雌蛙腹腔内注射适量雄蛙垂体悬浮液,实验结果是__________,原因是_____________。
(4)蛙卵受精后发育成蝌蚪,若在饮料中添加适量的_________激素,将促进蝌蚪发育为蛙。在蛙体内,该激素的合成和分泌,受垂体合成和分泌的_______________调控。
答案及详细解析请点下一页查看。