时间:2019-06-23 06:28:19
1、选择题 人的前肢与鸟的翅膀有共同结构。这是因为:
A.鸟类起源于哺乳类
B.鸟类与哺乳类有共同祖先
C.哺乳类对它们的环境的适应比鸟类差
D.鸟类与哺乳类都很好地适于飞翔
参考答案:B
本题解析:陆栖脊椎动物(包括两栖类、爬行类、鸟类和哺乳类)由于适应陆地生活,并有共同的起源,它们的四肢结构尽管有各种变化,如人的前肢,鸟的翅膀,蝙蝠的翼,青蛙的前肢等,但骨骼结构则大同小异。鸟类与哺乳类在它们的起源问题上尽管迄今尚难肯定各来自何种爬行动物,但它们都起源于古代爬行类是有充足证据的。在适应辐射中鸟类主要向空中发展,而哺乳类主要适应陆地生活,由于都来自古代爬行类,故而它们的前肢是同源器官,并有共同结构。因此人的前肢与鸟翼有共同结构就不足为奇了。要说鸟类起源于哺乳类,这是毫无根据的。根据现有的古生物学资料,最早的哺乳动物出现于三叠纪末期[距今约2×108a( 2亿多年前)],而最早的鸟——始祖鸟出现于侏罗纪[距今约1.4×108a(1.4亿年)]。80年代美古生物学家在三叠纪地层中发现了一种原始鸟类,定名为原鸟。从结构上看,原鸟比始祖鸟更接近于现代鸟,由此也可推论比原鸟更早或至少差不多的时候始祖鸟类的鸟即已存在。只不过由于鸟类骨薄、易碎,难以成为化石。另一方面,化石很少也难以被人们发现。由此可知鸟类与哺乳类起源的时间差不多,所以鸟也不可能起源于哺乳类。
本题难度:简单
2、选择题 指出下列动物和其特征的正确关系
A.鲤鱼——不喝水、排泄尿素
B.鸽——主动排盐、排泄氨
C.鲸——不喝水、排泄尿素
D.鼠——主动排盐、排泄氨
参考答案:C
本题解析:鱼类尿液含水量 95%以上,还含有少量肌酸、肌酐、尿酸等。爬行类、鸟类尿以尿酸为主,两栖类、哺乳类尿以尿素为主。
本题难度:困难
3、选择题 下图为马的生活史,下列有关此图的叙述中不正确的是
[? ]
A.有丝分裂发生在Ⅰ→Ⅱ,Ⅰ→Ⅳ
B.基因重组发生在之间Ⅲ→Ⅳ
C.基因突变可发生在Ⅰ→Ⅱ,Ⅱ→Ⅲ,Ⅳ→Ⅰ
D.Ⅳ为新个体发育的起点
参考答案:B
本题解析:
本题难度:一般
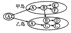
4、选择题 如图所示为某群岛上物种演化的模型,A、B、C、D、E、F为六个物种,据图分析,正确的叙述是
A.A物种进化为B、C两个物种的外部因素主要是自然选择,突变是内因
B.B物种迁到乙岛时与C物种之间只存在地理隔离,不存在生殖隔离
C.D物种与C物种之间最可能是捕食关系
D.E、F两物种之间是经过长期地理隔离而形成生殖隔离
参考答案:A
本题解析:B物种迁到乙岛时已经与C物种之间存在生殖隔离,两者不能交配;D物种与C物种之间最可能是竞争关系;.E、F两物种是B物种在甲岛上形成的两个新物种,没有经过地理隔离,故只有A答案对。
本题难度:简单
5、选择题 某人随机从果蝇种群中抽取200只果蝇,其中灰身(AA)的70只,灰身(Aa)为120只,黑身(aa)为10只,那么在这个种群中,A与a的基因频率分别是
A.65%、35%
B.35%、65%
C.95%、5%
D.40%、60%
参考答案:A
本题解析:试题分析:基因频率是指一个种群基因库中某一基因占全部等位基因数的百分比,通常一个个体按两个基因进行计算,这样基因总量是400,A是70×2+120=260,A占65%,a占1-65%=35%。A正确。
考点:现代生物进化理论。
点评:这类题目只要正确理解基因频率的概念是关键。
本题难度:简单