时间:2019-03-15 19:03:17
1、选择题 将紫色洋葱表皮细胞置于30%蔗糖溶液中,光镜下所能看到的现象是?
①液泡变小,颜色由浅变深?
②液泡变小,颜色由深变浅?
③原生质层与细胞壁逐渐分离?
④细胞膜、液泡膜结构清晰?
⑤原生质层与细胞壁之间的溶液
A.①②
B.①③④
C.②③
D.①③⑤
参考答案:D
本题解析:当把紫色洋葱表皮细胞置于30 %蔗糖溶液中时,由于蔗糖溶液的浓度高于洋葱细胞液的浓度,同时由于蔗糖是大分子,不能透过原生质层,所以细胞液中的水分会通过渗透作用向外渗出,在这一过程中,我们可以观察到紫色洋葱表皮细胞的液泡变小,颜色由浅变深,及原生质层与细胞壁逐渐分离。由于细胞壁是全透性的,所以原生质层与细胞壁之间的液体是蔗糖溶液。
本题难度:一般
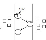
2、选择题 已知某种物质通过细胞膜的方式如右图所示,则此物质可能是
A.K+
B.H2O
C.甘油
D.酒精
参考答案:A
本题解析:图中物质的运输方式是主动运输,特点是低浓度到高浓度,需要载体和能量,如K+,而H2O、甘油和酒精的运输是自由扩散;故选A。
本题难度:一般
3、选择题 小肠绒毛上皮细胞通过主动转运方式吸收的物质是
A.氧气、甘油
B.脂肪酸、水
C.葡萄糖、甘油
D.钾离子、氨基酸
参考答案:D
本题解析:
本题难度:一般
4、选择题 如图表示在一定范围内,细胞膜外物质进入细胞膜内的情况,曲线a表示细胞内物质的浓度,b表示细胞外物质的浓度,正确的是
A.物质进入细胞的方式是主动运输
B.物质进入细胞的方式是自由扩散
C.物质运输速率与b的高低有关
D.该物质进入细胞不需消耗能量
参考答案:A
本题解析:试题分析:由图示可知,细胞内浓度a由小于细胞外浓度b,逐渐升高到大于细胞外浓度,可见该物质由细胞膜外进入细胞膜内,不是顺浓度运输,则为主动运输。
考点:本题考查的是物质的跨膜运输。
点评:对于此类试题,学生应掌握物质的跨膜运输。
本题难度:困难
5、选择题 人红细胞中的K+浓度比血浆中高30倍,而Na+浓度却只有血浆的1/6,合理的解释是
A.红细胞中无细胞核
B.人体对K+、Na+需求不同
C.细胞膜的主动选择吸收
D.细胞膜对K+、Na+的特异性吸收
参考答案:C
本题解析:试题分析:
K+的运输方向是由细胞外→细胞内,Na+的运输方向是由细胞内→细胞外,都是逆浓度梯度而进行,属于主动运输,消耗ATP并需要载体蛋白;故选C。
考点:主动运输。
点评:考查了学生知识迁移和应用能力,如掌握跨膜运输的规律,可以很快解决此题。
本题难度:困难