时间:2017-08-25 09:35:46
1、选择题 不在内质网上合成和加工的生物分子是
[? ]
A.抗体
B.胆固醇
C.维生素D
D.核酸
2、选择题 下列各项生理活动中,需要高尔基体参与的是?
[? ]
A.小鼠受精卵分裂过程中纺锤体的形成
B.大豆叶肉细胞合成有氧呼吸酶
C.蓝藻细胞壁的形成
D.效应B细胞分泌抗体
3、选择题 用32P标记磷脂中的磷,在下列哪组细胞器中不能检测到32P的存在
[? ]
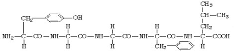
4、填空题 据图回答下列问题:
(1)该化合物是由______个氨基酸分子失去_____个分子的水而形成的,这种反应叫做________。在这个过程中,相对分子质量减少了______。该化合物称为________。
(2)一分子该化合物含有______个氨基和________个羧基
(3)合成该化合物的细胞器是_________。
5、选择题 细胞质基质、线粒体基质和叶绿体基质的
[? ]
A.功能及所含有机化合物都相同
B.功能相同,所含有机化合物不同
C.功能及所含有机化合物都不同
D.功能不同,所含有机化合物相同
答案及详细解析请点下一页查看。