时间:2017-08-08 06:40:38
1、填空题 有机玻璃是以有机物B为单体通过加聚反应得到的.合成B有以下两种途径.
(1)写出有机物A的结构简式______.有机物B的名称______.
(2)写出以有机物B为单体合成有机玻璃的化学方程式______.
(3)上述两种途径中,更符合绿色化学要求的途径是______(填1或2).该方法的主要优点是______.
参考答案:(1)由有机物A和HCN反应的产物可知A应为丙酮,即
,由B的结构简式可知应为甲基丙烯酸和甲醇形成的酯,则B为甲基丙烯酸甲酯,
故答案为:
;甲基丙烯酸甲酯;
(2)有机物中B中含有C=C,可发生加聚反应,反应的方程式为
,
故答案为:
;
(3)对比反应1和2,反应2反应物全部转化为生成物,原子利用率较高,
故答案为:2;充分利用反应原料,符合原子经济化的要求,实现零排放.
本题解析:
本题难度:一般
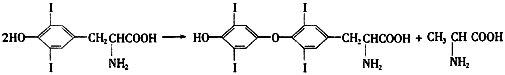
2、填空题 碘在人体生命活动中具有重要作用,人从食物中摄取碘后,碘便在甲状腺中积存下来,通过一系列的化学反应形成甲状腺素,甲状腺素的结构为
(1)甲状腺素的分子式为_____________________。
(2)在甲状腺内,甲状腺素的合成过程可能是
?
试写出上述两步反应的化学方程式,并注明反应类型
①___________________________②___________________________
参考答案:(1)
(2)
;取代反应
?
;取代反应
本题解析:
本题难度:一般
3、填空题 (12分)相对分子质量为92的某芳香烃X是一种重要的有机化工原料,研究部门以它为初始原料设计出如下转化关系图(部分产物、合成路线、反应条件略去)。其中A是一氯代物,H是一种功能高分子,链节组成为C7H5NO。
已知:
Ⅰ?
Ⅱ?
(苯胺,易被氧化)
请根据所学知识与本题所给信息回答下列问题:
(1)H的结构简式是______________;(2)反应②的类型是______________;
(3)反应⑤的化学方程式是____________________________________________;
反应⑥的化学方程式是____________________________________________;
(4)
有多种同分异构体,其中符合下列条件的共有__________种
①能发生银镜反应但不能水解
②每摩尔同分异构体最多消耗2mol NaOH
③苯环上一氯代物只有两种
参考答案:(1)
或
(2分)(2)氧化反应(2分)
(3)
(3分)
(反应条件也可写水浴加热,缺少条件或沉淀符号均扣1分,最多扣1分)
?(3分)
(反应条件也可写H+,或加热,缺少条件扣1分)?(4)2(2分)
本题解析:(1)根据H的单体可知,H是氨基和羧基的缩聚产物,所以H的结构简式为
;根据X的相对分子质量可知,X是甲苯,所以根据反应③的生成物可知,F是邻甲基硝基苯。由于氨基极易被氧化,所以应该是显氧化甲基,然后再还原硝基,即反应②是氧化反应。
(3)B能发生催化氧化,所以B中含有羟基,则B应该是苯甲醇,所以C是苯甲醛,所以反应⑤的方程式为:
。
(4)能发生银镜反应但不能水解,说明含有醛基,但没有酯基;每摩尔同分异构体最多消耗2mol NaOH,所以含有2个酚羟基;苯环上一氯代物只有两种,所以结构简式为
、
?,共计2种。
本题难度:一般
4、填空题 (8分)【化学-有机化学基础】菠萝酯(结构简式如下)是一种具有菠萝香气的食用香料,
其的合成路线如下:
提示:
(1)有机物乙中所含有的官能团是_________
(2)上述合成菠萝酯的过程中,下列反应类型中未涉及到的是___________。
A.取代反应
B.加成反应
C.消去反应
D.中和反应
(3)菠萝酯有多种同分异构体,写出同时满足下列三个条件的同分异构体的结构简式。(写出其中的一种即可)
①能使溴的四氯化碳溶液褪色,遇FeCl3溶液不显紫色
②除苯环外无其他环状基团
③能与NaOH溶液反应,且1mol该同分异构体最多能与2molNaOH反应
_____________________________________________________________________
(4)写出由丙→菠萝酯的化学化学方程式。______________________________________。
参考答案:
小题1:羧基和氯原子
小题2:BC
小题3:
小题4:
小题5:
本题解析:略
本题难度:简单
5、简答题 已知两个羟基同时连在同一碳原子上的结构是不稳定的,它要发生脱水反应:
现有分子式为C8H8X2(X为一未知元素)的物质M,可在一定条件下发生一系列反应(A、B是两种不同的物质)?
试回答下列问题:
(1)A中含氧官能团的名称为______
(2)含有相同官能团的A的同分异构体有______种(不包含A).
(3)M→A+B?的反应类型是______
(4)M的结构简式为______
(5)写出A→C的化学方程式:______.
参考答案:(1)根据C与甲醇的酯化反应产物可判断C为
,A为
,则A中含有醛基,故答案为:醛基;
(2)
中两个取代基有邻、间、对三种位置,则有三种同分异构体,故答案为:3;
(3)M→A+B?的反应类型为水解反应,也为取代反应,故答案为:取代反应(或水解反应);
(4)在碱性条件下水解生成A和B,B能与硝酸银反应生成浅黄色沉淀,说明含有溴元素,则M为二溴代物,A能与氢氧化铜的悬浊液在加热条件下反应,说明A中含醛基,根据题给信息,可知M中的两个溴取代基在同一个碳原子上,根据A可确定M的碳架结构,
故答案为:
;
(5)A→C的反应为氧化反应,生成醛基,方程式为
,故答案为:
.
本题解析:
本题难度:一般