时间:2017-08-08 05:21:48
1、选择题 巳知维生素A的结构简式如下,下列关于它的说法正确的是( )
A.维生素A是一种酚
B.维生素A的一个分子中有三个双键
C.维生素A的一个分子中有30个氢原子
D.维生素A具有环己烷的结构单元
参考答案:A.该有机物中不含苯环,更不存在酚羟基,则不是酚,故A错误;
B.有机物中含有5个C=C键,故B错误;
C.观察有机物结构,有机物中含有30个H原子,故C正确;
D.六元环中含有C=C,不是环己烷的结构,故D错误.
故选C.
本题解析:
本题难度:简单
2、简答题 多巴胺是一种重要的中枢神经传导物质,用来帮助细胞传送脉冲的化学物质,能影响人对事物的欢愉感受,其分子结构如图(1)所示.
试回答下列问题:
(1)多巴胺的分子式是______,在多巴胺的核磁共振氢谱中可以发现有______个特征吸收峰.
(2)多巴胺分子中的官能团名称是______、______.
(3)多巴胺属于______有机物?(填写序号).①酸性?②碱性?③两性
多巴胺可由香兰素与硝基甲烷反应后再经锌汞齐还原水解制得.合成过程可如图(2)所示:
(4)反应①的反应类型是______.
(5)反应②的化学方程式是______.
(6)香兰素的一类同分异构体具有以下特点:
①与FeCl3溶液显紫色?②属于酯类?③在苯环的一氯取代物只有两种
写出符合以上条件的所有同分异构体的结构简式______.
参考答案:(1)由结构简式可知1个多巴胺的分子中含有8个C原子,11个H原子,2个O原子和1个N原子,则分子式为C8H11O2N,分子中有8种性质不同的H原子,则核磁共振氢谱中有8个特征吸收峰,
故答案为:C8H11O2N;8;
(2)分子中含有-OH,为羟基,含有-NH2,为氨基,故答案为:羟基;氨基;
(3)酚羟基具有酸性,氨基具有碱性,所以多巴胺具有两性,故答案为:③;
(4)反应①存在-CHO→-CHOHCH2NO2的变化,为加成反应,故答案为:加成反应;
(5)由反应流程可判断M为
,则反应②为消去反应,化学方程式为
,
故答案为:
;
(6)与FeCl3溶液显紫色,说明含有酚羟基;属于酯类,则含有-COO-官能团;在苯环的一氯取代物只有两种,则取代基位于对位位置,同分异构体的种类由对应的酸和醇的种类决定,则对应的酸有:甲酸、乙酸和对羟基苯甲酸三种,则三种同分异构体分别为
,
故答案为:
.
本题解析:
本题难度:一般
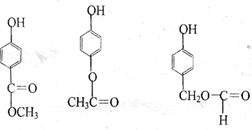
3、选择题 关于下列物质的说法,正确的是
甲:
乙:
丙:
[? ]
A.三者含有的官能团的种类相同
B.乙和丙中的--OH性质相同
C.甲和乙互为同分异构体
D.甲和丙互为同分异构体
参考答案:D
本题解析:
本题难度:一般
4、选择题 赛车手所带的罐头等食品大多含有防腐剂苯甲酸钠和山梨酸钠.苯甲酸钠和山梨酸钠分别由苯甲酸(C6H5COOH)和山梨酸(CH3CH=CHCH=COOH)制备.有关苯甲酸和山梨酸性质的描述:①都溶于乙醇?②都能与金属钠和氢氧化钠发生反应?③都能发生加聚反应?④都能发生酯化反应.正确的是( )
A.①②③
B.②③④
C.①②④
D.①③④
参考答案:C
本题解析:
本题难度:简单
5、选择题 (多选题)酚酞含片是一种治疗消化系统疾病的药物,其有效成分的结构简式如图所示.
下列对该有效成分的说法正确的是( )
A.所有原子可能共平面
B.核磁共振氢谱中有7个峰
C.能发生加聚反应生成高分子化合物
D.1mol该物质最多能与含3molNaOH的烧碱溶液反应
参考答案:BD
本题解析:
本题难度:一般