时间:2017-08-06 09:54:54
1、简答题 有X、Y、A三种单质,其中X单质在常温、常压下为气体,Y单质为固体.
①纯净的氢气可在X单质中燃烧产生苍白色的火焰和大量的白雾;
②Y单质在空气中剧烈燃烧,发出黄色的火焰,生成一种淡黄色的固体;
③A经如图所示的过程转化为含氧酸D,已知D为强酸
根据上述实验现象或事实进行推断:
(一)写出X单质与水反应的化学方程式:______.
(二)写出Y单质与氧气在常温下反应的化学方程式:______.
(三).(1)若A在常温下为固体,B是能使品红溶液褪色的有刺激性气味的无色气体.
①D的化学式是______.
②在工业生产中B气体的大量排放被雨水吸收后形成了______而污染了环境.
(2)若A在常温下为气体,C是红棕色的气体
①A、C的化学式分别是:A______C______.
②D的浓溶液在常温下可与铜反应并生成C气体,请写出该反应的化学方程式______.
参考答案:有X、Y、A三种单质,其中X单质在常温、常压下为气体,Y单质为固体.
①纯净的氢气可在X单质中燃烧产生苍白色的火焰和大量的白雾,应是氢气与氯气的反应,则X为Cl2;
②Y单质在空气中剧烈燃烧,发出黄色的火焰,生成一种淡黄色的固体,含有Na元素,则Y为Na;
(一)氯气与水反应生成HCl与HClO,反应的化学方程式为:Cl2+H2O=HCl+HClO,
故答案为:Cl2+H2O=HCl+HClO;
(二)Na与氧气在常温下反应生成Na2O,反应的化学方程式为:4Na+O2=2Na2O,
故答案为:4Na+O2=2Na2O;
(三)A经如图所示的过程转化为含氧酸D,已知D为强酸:
(1)若A在常温下为固体,B是能使品红溶液褪色的有刺激性气味的无色气体,则B为SO2,可推知A为S、C为SO3、D为H2SO4,在工业生产中SO2气体的大量排放被雨水吸收后形成了亚硫酸而污染了环境,
故答案为:H2SO4;亚硫酸;
(2)若A在常温下为气体,C是红棕色的气体,则C为NO2,可推知A为NH3,B为NO,D为HNO3,浓硝酸在常温下可与铜反应生成NO2气体与硝酸铜、水,该反应的化学方程式为Cu+4HNO3(浓)=Cu(NO3)2+2NO2↑+2H2O,
故答案为:①NH3;NO2;②Cu+4HNO3(浓)=Cu(NO3)2+2NO2↑+2H2O.
本题解析:
本题难度:一般
2、选择题 已知A、B为单质,C为化合物:A+B
参考答案:B
本题解析:
本题难度:一般
3、填空题 (8分) A、B、C、D四种化合物,其中A、C、D焰色反应均为黄色,而B的焰色反应为紫色,A、C和盐酸反应均得到D,将固体C加热可得到A,若在A的溶液中通入一种无色无味气体,又可制得C,若B的溶液滴加到硫酸亚铁溶液会先后出现白色沉淀E→灰绿色沉淀→红褐色沉淀F。试推断
(1)A:________、B:________、C?、 D?(填化学式)
(2) C+盐酸的离子方程式?
(3)加热C得到A的化学方程式?
参考答案:(1)A:Na2CO3? B:KOH? C:NaHCO3? D:NaCl
(2)HCO3-+H+=H2O+CO2↑?(3)2NaHCO3=△Na2CO3+H2O+CO2↑
本题解析:略
本题难度:一般
4、简答题 中学常见反应的化学方程式是A+B----->X+Y+H2O(未配平,反应条件略去),其中A、B的物质的量之比为1:4.请回答:
(1)若Y是黄绿色气体,则Y的化学式是______.
(2)若A为非金属单质,构成它的原子核外最外层电子数是次外层电子数的2倍,B的溶液为浓硫酸,则化学方程式为:______,则反应中氧化剂与还原剂的物质的量之比是______.
(3)若A为金属单质,常温下A在B的浓溶液中发生“钝化”,且A为短周期元素,且A可溶于NaOH溶液中.A元素为______(填化学式),其所在周期表中的位置为:
______(填所在周期和族);A与NaOH反应的离子方程式是______.
参考答案:(1)A+B----->X+Y+H2O,A、B的物质的量之比为1:4,若Y是黄绿色气体为Cl2,故答案为:Cl2
(2)若A为非金属单质,构成它的原子核外最外层电子数是次外层电子数的2倍,判断为碳,碳和浓硫酸反应的化学方程式为:C+2H2SO4?加热?.?CO2↑+2SO2↑+2H2O;反应中氧化剂与还原剂的物质的量之比为2:1;
故答案为:C+2H2SO4?加热?.?CO2↑+2SO2↑+2H2O;2:1;
(3)若A为金属单质,为短周期元素,且A可溶于NaOH溶液中,说明A为Al,Al在周期表中的位置为:第三周期 ?IIIA族、铝和氢氧化钠溶液反应的化学方程式为:2Al+2OH-+2H2O═2AlO2-+3H2↑;
故答案为:第三周期 IIIA族;2Al+2OH-+2H2O═2AlO2-+3H2↑;
本题解析:
本题难度:一般
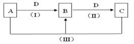
5、填空题 (15分) A、B、C、D都是中学化学常见的物质,其中A、B、C均含有同一种元素。在一定条件下相互转化的关系如图所示。
请回答下列问题:
(1)若D为用量最大、用途最广的金属单质,加热蒸干B的溶液没有得到B的盐,则B的化学式可能为?。(写出一种即可)
(2)若通常情况下A、B、C、D都是气体,且B和D为空气的主要成分,则A的电子式为?,B的结构式为?。
(3)若D为氯碱工业的重要产品,反应(III)的离子方程式为?。
(4)若A、B、C的溶液均显碱性,C为焙制糕点的发酵粉的主要成分之一,也可作为医疗上治疗胃酸过多症的药剂。
①25℃时,pH均为10的A、B两溶液中,由水电离出的氢氧根离子浓度之比为?。
②25℃时,0.1mol·L-1的A、B、C三种溶液,分别用水稀释不同的倍数后,溶液的pH相同,则稀释后溶液的物质的量浓度最大的是?溶液(填溶质的化学式)。
③将等物质的量的B和C溶于水形成混合溶液,溶液中各种离子浓度由大到小顺序为?。
参考答案:(15分)(1)FeCl3或Fe(NO3) 3(2分,写出一种即可)
(2)?
(2分);N≡N(2分)
(3)Al3++3AlO2-+6H2O=4Al(OH)3↓ 或Al3++3Al(OH)4-=4Al(OH)3↓(3分)
(4)①10-6:1或1:106(2分) ② NaHCO3(2分)
③c(Na+ )>c(HCO3-)>c(CO32-)>c(OH-)>c(H+)(2分)
本题解析:(1)用量最大、用途最广的金属单质是铁,铁是变价金属,而铁盐在溶液中易水解,加热进一步促进水解,若相应的酸是挥发性的酸时就得不到该盐,所以B的化学式可能是FeCl3或Fe(NO3) 3。
(2)空气的主要成分是氧气和氮气,根据转换图可知D应是氧气,B应是氮气,C是NO,NO和A反应又生成氮气,反应是氧化还原反应,所以A中氮原子的化合价要低于0价,在常见气体是氨气,所以A是氨气,其电子式为
。氮气中含有3对共用电子对,其结构式为N≡N。
(3)D为氯碱工业的重要产品,则D是氢氧化钠。又因为A、B、C均含有同一种元素,因此符合这种转化的铝的化合物之间的反应,即A是铝盐,B是氢氧化铝,C是NaAlO2. 反应(III)的离子方程式为Al3++3AlO2-+6H2O=4Al(OH)3↓。
(4)根据C的用途可知C是NaHCO3。A、B、C的溶液均显碱性,所以符合转化关系的应是A为氢氧化钠、B是碳酸钠,C是NaHCO3。氢氧化钠是强碱抑制水的电离,碳酸钠水解促进水的电离,pH均为10的A、B两溶液中,由水电离出的氢氧根离子浓度分别为10-10和10-4。故二者的浓度之比1:106。因为NaHCO3的水解程度小于碳酸钠的,而氢氧化钠属于强碱,所以当pH相同时,NaHCO3的浓度最大。同样分析可知碳酸钠和碳酸氢钠等物质的量混合溶于水后溶液中各种离子浓度由大到小顺序为
c(Na+ )>c(HCO3-)>c(CO32-)>c(OH-)>c(H+)。
本题难度:一般