时间:2017-08-06 09:26:21
1、计算题 某结晶水合物含有两种阳离子和一种阴离子。称取两份质量均为1.96g的该结晶水合物,分别制成溶液。一份加入足量Ba(OH)2溶液,生成白色沉淀,随即沉淀变为灰绿色,最后带有红褐色;加热该混合物,逸出能使湿润的红色石蕊试纸变蓝的气体;用稀盐酸处理沉淀物,经洗涤和干燥,得到白色固体2.33 g。另一份加入含0.001 molKMnO4的酸性溶液,MnO4-恰好完全被还原为Mn2+。请回答以下问题:
(1)该结晶水合物中含有的两种阳离子是________和_______,阴离子是_________。
(2)试通过计算确定该结晶水合物的化学式。
参考答案:(1)NH4+、Fe2+;SO42-(2)据题意:
n(Fe2+)=0.001mol×5=0.005mol
根据离子化合物中阴、阳离子电荷平衡的原理,n(NH4+)+2n(Fe2+)=2n(SO42-)
n(NH4+)=0.01 mol n(H2O)=
=0.03 mol 该结晶水合物的化学式为(NH4)2Fe(SO4)2·6H2O[或(NH4)2SO4·FeSO4·6H2O]
本题解析:
本题难度:一般
2、计算题 将mg某钢样放在氧气流中灼烧,得n mg CO2,钢样中碳的质量分数是多少?
参考答案:钢样中的碳全部转化为二氧化碳,根据碳守恒,碳的质量分数 
本题解析:
本题难度:一般
3、选择题 把7.4gNa2CO3·10H2O和NaHCO3组成的混合物溶于水配成100mL溶液,其中c(Na+)=0.6mol/L。若把等质量的混合物加热至恒重,残留物的质量是
[? ]
A.3.18g
B.2.12g
C.4.22g
D.5.28g
参考答案:A
本题解析:
本题难度:一般
4、计算题 某元素最高价氧化物的化学式是RO2,已知其气态氢化物中含氢25%。
(1)计算R的相对原子质量(2分);
( 91exam .org2)写出R最高价氧化物对应的水化物的化学式,并设计一个实验方案证明其酸性比盐酸弱。
参考答案:(1)12
(2)H2CO3;实验方案:往石灰石滴加稀盐酸,产生大量气泡,该无色气体能使澄清石灰水变浑浊,则为二氧化碳气体,根据强酸制弱酸的原理可得碳酸的酸性比盐酸弱
本题解析:
本题难度:一般
5、填空题 烟气中NOx是NO和NO2的混合物(不含N2O4)。
(1)根据废气排放标准,1m3烟气最高允许含400 mg NOx。若NOx中NO质量分数为0. 85,则1m3烟气中最高允许含NO_________L(标准状况,保留2位小 数)。
(2)工业上通常用溶质质量分数为0.150的Na2CO3水溶液(密度1.16 g/mL)作为NOx吸收剂,该碳酸钠溶液物质的量浓度为___________mol/L(保留2位小数)。
(3)已知:
NO+NO2+Na2CO3→2NaNO2+CO2 ①
2NO2+Na2CO3→NaNO2+NaNO3+CO2 ②
1m3含2000 mg NOx的烟气用质量分数为0.150的碳酸钠溶液吸收。若吸收率为80%,吸收后的烟气______排放标准(填“符合”或“不符合”)。理由:______________________
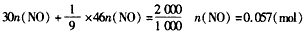
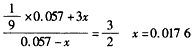
(4)加入硝酸可改变烟气中NO和NO2的比,反应为:NO+2HNO3→3NO2+H2O当烟气中n(NO):n(NO2)=2:3时,吸收率最高。1m3烟气含2000 mg NOx,其中n(NO):n(NO2) =9:1。
计算:
(I)为了达到最高吸收率,1m3烟气需用硝酸的物质的量(保留3位小数)。
(Ⅱ)1m3烟气达到最高吸收率90%时,吸收后生成NaNO3的质量(假设上述吸收反应中,反应①比反应②迅速。计算结果保留l位小数)。
参考答案:(1)0.25
(2)1.64
(3)不符合;因吸收后烟气总体移碱小,NOx含量仍超过400mg/m3(4)(I)



(II)

本题解析:
本题难度:一般