时间:2017-08-01 02:39:41
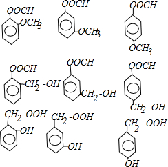
1、推断题 姜黄素具有抗突变和预防肿瘤的作用,其合成路线如下: 
化合物I可以由以下合成路线获得:
(1)有机物IV的分子式为?,含有官能团的名称为醚键和?。
(2)有机物V的名称为?,其生成VI的化学方程式为(注明反应条件):
?。
(3)符合下列条件的IV的同分异构体的结构简式为?。
①苯环上的一硝基取代物有2种?②1 mol该物质水解,最多消耗3 molNaOH
(4)反应①中反应物的原子利用率为100%,该反应的化学方程式为?
?。
参考答案:(16分)(1)C8H8O3(2分)?(酚)羟基、醛基(2分,下面每空3分)
(2)1,2—二溴乙烷?
(3)
(4)
?
本题解析:(1)观察结构简式,发现化合物IV由OHC—、—C6H4—、—OCH3、—OH四种原子团构成,则其分子式为C8H8O3;所含的三种官能团分别为醛基、醚键、羟基;(2)分子式为C2H4的有机物只有一种,无同分异构体,只能是乙烯(CH2=CH2),属于不饱和烃,与Br2易发生加成反应,生成1,2—二溴乙烷(BrCH2CH2Br),则化合物V的名称为1,2—二溴乙烷,属于卤代烃,不能简称为二溴乙烷,因为1,2—二溴乙烷与1,1—二溴乙烷互为同分异构体;化合物I的结构简式为HOOC—CHO,I是VII 氧化得到的有机产物,VII是VI催化氧化得到有机产物,由此逆推VII、VI的结构简式可能为OHC—CHO、HOCH2CH2OH;1,2—二溴乙烷与氢氧化钠水溶液共热时发生水解反应或取代反应,生成乙二醇、溴化钠,证明上述逆推合理;(3)由苯环上的一硝基取代物有两种,说明苯环上有2个取代基,且2个取代基位于相对位置;由1mol该物质水解最多消耗3molNaOH,说明该物质含有酯基、酚羟基,且1mol该物质与1mol水反应可以得到1mol对苯二酚、1mol乙酸,综合上述推断可得IV的同分异构体的结构简式为HOC6H4OOCCH3;(4)依题意,反应①属于加成反应,与I反应的有机物为邻羟基苯甲醚;对比I、II的结构简式,发现羧基不变,醛基中碳氧双键断开其中1个键,邻羟基苯甲醚中羟基对位碳上的碳氢键断开,碳、氢分别加到碳、氧原子上,生成化合物II。
本题难度:困难
2、推断题 丙卡巴肼用于治疗何杰金氏病,其主要合成工艺路线如下:
(1)丙卡巴肼的分子式为?,原料A的名称为?。
(2)下列分析合理的是?(填字母)
A.有机物6可发生水解反应
B.有机物5能发生银镜反应
C.有机物3与5的反应为加成反应
D.有机物6中至少有8个碳原子共面
(3)有机物1生成2的化学方程式为(注明条件):?。
(4)NBS的结构简式为?。
(5)有机物1的同分异构体符合下列条件,写出其中一种的结构简式?。
①能发生银镜反应?②苯环上的一取代物只有两种
参考答案:(16分)
(1)C12H19 N3O(或C12H19ON3)(N、O的顺序不作扣分点),对甲基苯甲酸(或4—甲基苯甲酸)(各2分)
(2)ABD(3分,漏选1个扣1分,错选0分)
(3)
(3分)
评分细则:1、只要化学式、结构简式错(含漏写有机产物),则0分;
2、漏写条件扣1分;
3、漏写HCl 扣 1分。
(4)
(键的连接方式错,0分)(3分)
(5)
?(3分)
本题解析:(1)由丙卡巴肼的结构简式可知其分子式为C12H19N3O;原料A的官能团是羧基,因此应从与羧基相连的碳为起点给苯环上的碳编号,使另一个取代基的位置号越小越好,由此确定名称为4—甲基苯甲酸或对甲基苯甲酸;(2)有机物6含有的官能团为肽键或(—CONH—),因此具有二肽的性质,所以能发生水解反应,故A选项正确;有机物5的官能团中含有醛基(—CHO),因此具有醛的性质,能发生银镜反应,故B选项正确;有机物3与5反应时,有机物3中的溴原子被—NHNHCH3取代,因此该反应是取代反应,故C选项错误;由于苯分子是共面分子,6个C和6个H原子位于同一个平面内,两个取代基中直接与苯环相连的碳原子代替了苯分子中的2个H后,6个C和2个C的位置与原来的结构相同,因此这8个C原子一定位于同一个平面内,故D选项正确;(3)在二氯甲烷和加热条件下,有机物1中的氯原子被(CH3)2CHNHNH2中的—NHNHCH(CH3)2取代,生成有机物2和HCl;(4)先找到合成路线中有机物2生成3、4的转化关系,对比结构简式的变化,可以判断2中甲基中的氢原子被NBS中的溴原子取代,根据3、4的结构简式逆推,可以推断NBS的结构简式;(5)能发生银镜反应,说明含有醛基;苯环上的一取代物只有两种,说明苯环上有两个取代基且位于相对位置,由此推断两个取代基为—CHO和—CH2Cl或者—CH2CHO和—Cl,由此可以书写出符合题意的同分异构体的结构简式。
本题难度:困难
3、填空题 根据题干要求书写下列有关反应的方程式:
(1)由丙烯、HCl制备2-氯丙烷_____________________________________________
(2)2-丁烯聚合成聚2-丁烯__________________________________
(3)由甲苯制备TNT_______________________________________
(4)工业利用乙烯制乙醇_________________________________________
(5)3,3-二甲基-1-丁炔与足量氢气反应_____________________________
参考答案:(1)“略”
(2)“略”
(3)“略”
(4)“略”
(5)“略”
本题解析:
本题难度:一般
4、填空题 根据所学知识完成下列填空.
(1)现有下列几种物质:维生素、维生素、碘元素、铁元素、淀粉、油脂.
①人体缺乏某种维生素会引起坏血病,这种维生素是______.
②人体缺乏某种微量元素会发生贫血,这种微量元素是______.
③既能为人体提供热量,又能提供必需脂肪酸的物质是______.
(2)如图表示的是某生探究淀粉性质的过程,其中A、B、C均为加入的化学试剂.
根据图示回答下列问题.
①用化学式表示B和C各是什么物质______;上述过程中只加A不加B是否可以?为什么?______.
②写出上述过程中有关反应的化学方程式:淀粉溶液→混合溶液Ⅰ______.
参考答案:(1))①维生素C也称为抗坏血酸,缺乏维生素C会引起坏血病,故答案为:维生素C;
②人体缺乏某种微量元素会发生贫血,这种微量元素是铁元素,故答案为:铁元素;
③能为人体提供热量,又能提供必需脂肪酸,故答案为:油脂;
(2)①淀粉在稀硫酸作用下水解生成葡萄糖,加Na0H溶液中和稀硫酸,使混合液呈碱性,然后加入银氨溶液,有单质银生成可检验产物葡萄糖,证明淀粉已水解,由水解后的溶液加碘水变蓝,则说明水解不完全;加Na0H溶液的作用是中和稀硫酸,使混合液呈碱性,银镜反应需在碱性条件下进行,
故答案为:NaOH,银氨溶液;不可以,因后面的反应必须在碱性条件下方可进行,加B溶液是为了中和多余的酸;
②淀粉的水解方程式:(C6H10O5)n+nH2O?稀硫酸?.??nC6H12O6,故答案为:(C6H10O5)n+nH2O?稀硫酸?.??nC6H12O6.
? 淀粉?葡萄糖? 淀粉? ?葡萄糖
本题解析:
本题难度:一般
5、简答题 I.香豆素是一种用途广泛的香料,可用于配制香精以及制造日用化妆品和香皂等.某同学设计的香豆素的合成路线为:
(1)碳链增长的反应是______;
(2)官能团发生变化的反应有______.
II.香豆素是广泛存在于植物中的一类芳香族化合物,大多具有光敏性,有的还具有抗菌和消炎作用.它的核心结构是芳香内酯A,其分子式为C9H6O2.该芳香内酯A经下列步骤转变为水杨酸和乙二酸.
专完成下列问题:
(1)写出化合物C的结构简式______.
(2)化合物D有多种同分异构体,其中一类同分异构体是苯的二取代物,且水解后生成的产物之一能发生银镜反应.这类同分异构体共有______种.
(3)在上述转化过程中,反应步骤B→C的目的是______.
(4)请设计合理方案从
?(用反应流程图表示,并注明反应条件).
例:由乙醇合成聚乙烯的反应流程图可表示为:CH3CH2OH

参考答案:I.(1)根据各物质的结构简式知,碳链增长的反应是②,故答案为:②;
(2)根据各物质的结构简式知,官能团发生变化的反应是①②③④,故答案为:①②③④;
II.C被高锰酸钾氧化生成乙二酸和D,结合题给信息及C的分子式知,C的结构简式为
,B和碘烷发生取代反应生成C,则B的结构简式为:
,A水解生成B,且A的分子式为C9H6O2,A和B相对分子质量相差18,所以A的结构简式为:
,D和碘烷发生取代反应生成水杨酸.
(1)通过以上分析知,C的结构简式为
,故答案为:
;
(2)化合物D有多种同分异构体,其中一类同分异构体是苯的二取代物,说明含有两个取代基,能水解说明含有酯基,且水解后生成的产物之一能发生银镜反应,说明含有醛基,则其同分异构体为
,所以共有9种,故答案为:9种;
(3)B生成C的目的是保护酚羟基,使之不被氧化,故答案为:保护酚羟基,使之不被氧化;
(4)
和氢氧化钠的醇溶液发生消去反应生成物的结构简式为
,
和氢溴酸发生加成反应生成
,
和氢氧化钠的水溶液发生取代反应生成物的结构简式为
,
在浓硫酸加热条件下发生酯化反应生成
,
所以其反应过程为:
,
故答案为:
.
本题解析:
本题难度:一般