时间:2017-08-01 02:15:26
1、填空题  碱存在下,卤代烃与醇反应生成醚(R—O—R′):
化合物A经下列四步反应可得到常用溶剂四氢呋喃,反应框图如下:
请完成下列问题:
(1)1 mol A和1 mol H2在一定条件下恰好反应,生成饱和一元醇Y,Y中碳元素的质量分数为65%,则Y的分子式为________________,A分子中所含官能团的名称是_______________,A的结构简式为_______________。
(2)第①②步反应类型分别为①_______________,②_______________。
(3)化合物B具有的化学性质(填写字母代号)是_______________。
a.可发生氧化反应
b.强酸或强碱条件下均可发生消去反应
c.可发生酯化反应
d.催化条件下可发生加聚反应
(4)写出C、D和E的结构简式:
C_____________、D和E______________________________。
(5)写出化合物C与NaOH水溶液反应的化学方程式:_______________________________。
(6)写出四氢呋喃链状醚类的所有同分异构体的结构简式:____________________________。
参考答案:(1)C4H10O?羟基,碳碳双键?CH2=CHCH2CH2OH
(2)加成反应?取代反应
(3)abc
本题解析:(1)由1 mol A和1 mol H2恰好反应生成饱和一元醇Y知,A中含有一个碳碳双键,且Y的通式可写为CnH2n+2O,又因Y中碳元素的质量分数约为65%,则有 ×100%=65%,解得n=4,即Y的分子式为C4H10O;从而推出A的结构简式为CH2=CHCH2CH2OH。(2)结合题给信息,A→B应发生A与溴的加成反应,B→C应发生生成醚的取代反应。(3)因B为
×100%=65%,解得n=4,即Y的分子式为C4H10O;从而推出A的结构简式为CH2=CHCH2CH2OH。(2)结合题给信息,A→B应发生A与溴的加成反应,B→C应发生生成醚的取代反应。(3)因B为 ,含有—Br和—OH,故应具有a、b、c的化学性质。(6)因四氢呋喃为环状醚,要写成链状醚时,其碳碳链上一定含有一个碳碳双键,从而可写出可能的同分异构体。
,含有—Br和—OH,故应具有a、b、c的化学性质。(6)因四氢呋喃为环状醚,要写成链状醚时,其碳碳链上一定含有一个碳碳双键,从而可写出可能的同分异构体。
本题难度:一般
2、选择题  下列有关有机物的说法不正确的是
| 选项 | 项目 | 分析 | 
| A | 制备乙烯、制备硝基苯 | 实验时均用到了温度计 | 
| B | 乙烯制备乙醇、氯乙烷制备乙醇 | 属于同一反应类型 | 
| C | 丙烯可以使溴水和酸性高锰酸钾溶液褪色 | 褪色原理不同 | 
| D | 乙醇燃烧、乙醇使重铬酸钾变色 | 均为氧化反应 参考答案:B 本题解析:A选项中乙烯的制备要求温度为170℃ ,硝基苯的制备要求温度为55~60℃ ,因此必须使用温度计。B选项中乙烯制备乙醇属于加成反应,氯乙烷制备乙醇属于取代反应,不属于同一反应类型。C选项中丙烯与Br2加成使溴水褪色,丙烯与酸性高锰酸钾发生氧化还原反应使酸性高锰酸钾溶液褪色。D选项中乙醇燃烧是乙醇被氧气氧化,重铬酸钾是强氧化剂,能够氧化乙醇。 本题难度:简单 3、填空题  (13分)克矽平是一种治疗矽肺病的药物,其合成路线如下(反应均在一定条件下进行): | 
参考答案:
(1) (3分) ……………….. (3分)
 (3分) ……………….. (3分)
反应类型:加成反应(1分)………………………………………………. . (1分)
. (1分)
(2)HCHO(或CH2O)? ……………………………………………….(1分)
(3)? A? C? ………………………………………………………………(2分)
(4) ……………………….(3分)
……………………….(3分)
(5)H2O2?…………………………………………………………………(2分)
本题解析:略
本题难度:简单
4、推断题  已知0.1mol有机物A的质量是12g,在足量的氧气中充分燃烧后生成35.2g?CO2和7.2g?H2O;?A可以发生银镜反应,其苯环上的一卤代物有三种。
⑴?A的结构简式为______________________。 
其中D能使溴的四氯化碳溶液褪色,F继续被氧化生成G,G的相对分子质量为90。 
⑵C可能具有的化学性质有______________(填序号) 
①能与H2发生加成反应?
②能在碱性溶液中发生水解反应? 
③能与甲酸发生酯化反应?
④能与Ag(NH3)2OH溶液发生银镜反应 
⑶写出下列反应的化学方程式(有机物用结构简式表示),并指出其反应类型 
①C转化为D的反应___________________________;反应类型:__________反应; 
②一定条件下,D生成高分子化合物的反应_______________________;反应类型:_______反应。 
⑷向盛有5?mL?G饱和溶液的试管中滴入3滴用稀硫酸酸化的KMnO4溶液,振荡,溶液的紫红色褪去。已知MnO4-转化为Mn2+,则该反应的化学方程式为______________________________________________
⑸C的同分异构体有多种,其中符合下列要求的有机物有____________种 
①与C具有相同的官能团种类?
②遇三氯化铁溶液不显色 
③苯环上的一氯代物只有两种
请写出其中的一种同分异构体:________________? 
参考答案:(1)  ?
?
(2) ①③
(3)① ;消去反应
;消去反应
② ;加聚反应
;加聚反应
(4)5H2C2O4+2KMnO4+3H2SO4=K2SO4+2MnSO4+10CO2↑+8H2O
(5)4; (任写其中一种即可)
(任写其中一种即可)
本题解析:
本题难度:一般
5、推断题  PAR是分子主链上带有苯环和酯基的特种工程塑料,在航空航天等领域具有广泛应用。下图是合成PAR(G)的路线:
已知:①RCOOH+SOCl2→RCOCl+SO2?+HCl
②
③A是芳香烃,1H核磁共振谱显示其分子有4种不同化学环境的氢原子;
④F能使氯化铁溶液显色,其分子苯环上一硝基取代物有两种,分子中含有甲基、5个碳原子形成的直链
回答下列问题:
(1)写出A的结构简式?;
(2)A~G中含羟基的有机物有?(用字母回答);
(3)与D互为同分异构体,且能够发生银镜反应,又能跟小苏打溶液生成二氧化碳气体的有机物共有
?种。
(4)选出符合(3)中条件的D的无支链的同分异构体,写出其跟过量碱性新制氢氧化铜共热时反应的离子方程式?。
(5)下列关于有机物E的说法正确的是?。(填字母序号)
A.能发生加聚反应
B.能与浓溴水反应
C.能发生消去反应
D.能与H2?发生加成反应
(6)写出反应④的化学方程式?。
参考答案:(14分)
(1) (2分)?(2)B、D、E、F(2分)?(3)5(2分)
(2分)?(2)B、D、E、F(2分)?(3)5(2分)
(4)HOOCCH2CH2CH2CHO+2Cu(OH)2+2OH- -OOCCH2CH2CH2COO-+Cu2O↓+4H2O?(3分)
-OOCCH2CH2CH2COO-+Cu2O↓+4H2O?(3分)
(5)BD(2分)?
(6) (3分)
(3分)
本题解析:分子式为C8H10的芳香烃结构简式可能是 、
、 、
、 、
、 ,核磁共振谱有4种不同化学环境的氢原子的是
,核磁共振谱有4种不同化学环境的氢原子的是 。A生成B为氧化反应,B为
。A生成B为氧化反应,B为 ;由信息①可知C为
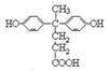
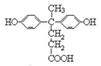
;由信息①可知C为 ;对照D、苯酚和E的分子式可知反应③是两分子苯酚和一分子D脱去一分子水生成E,且E中苯环上有两种不同环境的H、分子中含有甲基、5个碳原子形成直链,所以E为
;对照D、苯酚和E的分子式可知反应③是两分子苯酚和一分子D脱去一分子水生成E,且E中苯环上有两种不同环境的H、分子中含有甲基、5个碳原子形成直链,所以E为 。F为
。F为 。由信息②知C和F发生缩聚反应生成G。
。由信息②知C和F发生缩聚反应生成G。
(2)B、D、E、F中均含有羟基。
(3)能发生银镜反应说明含有醛基、能与小苏打溶液生成二氧化碳气体说明含有羧基,此外还剩余3个C,符合题意的异构体有 、
、 、
、 、
、 、
、 。
。
(4)(3)中无支链的异构体是 ,与新制氢氧化铜生成
,与新制氢氧化铜生成 、Cu2O和H2O。
、Cu2O和H2O。
(5)E为 ,其中无不饱和键,不能发生加聚反应,A错误;酚羟基邻位有H,能与溴水生成白色沉淀,B正确;分子中羟基为酚羟基,不能发生消去反应,C错误;苯环能与氢气发生加成反应,D正确。
,其中无不饱和键,不能发生加聚反应,A错误;酚羟基邻位有H,能与溴水生成白色沉淀,B正确;分子中羟基为酚羟基,不能发生消去反应,C错误;苯环能与氢气发生加成反应,D正确。
(6)反应④为酯化反应,酸脱羟基醇脱氢。
本题难度:困难