时间:2017-08-01 01:41:42
1、推断题  【选修5-有机化学基础】(15分)
已知:稀碱液中卤苯难水解。芳香族化合物C的分子式为C9H9OCl。C分子中有二条侧链,苯环上一氯代物只有二种,其核磁共振氢谱图中有五个吸收峰,吸收峰的面积之比为1∶2∶2∶2∶2。在一定条件下,由物质C可发生如图所示的转化:
(1)C→F的反应类型是_______;H的结构简式是________;
(2)C分子中的官能团名称?,最少有_____个碳原子共面;
(3)写出下列化学方程式:D与银氨溶液反应_________;E→I________;
(4)D的一种同系物W分子式为C8H8O2。则符合下列条件的W的同分异构体的结构简式?。?
条件:①属于芳香族化合物?②遇FeCl3溶液不变紫色?③1 mol W可与含2 mol NaOH的溶液反应
参考答案:(1)消去反应(1分); (2分) ;
 (2分) ;
(2)8 (2分);氯原子 醛基(2分,各1分);
(3)
n

 +(n-1)H2O (2分)?
+(n-1)H2O (2分)?
(4) 或
或 (写出4种即可)(4分,每个1分)
(写出4种即可)(4分,每个1分)
(其他正确答案参照给分)
本题解析:根据题给信息知,芳香族化合物C的分子式为C9H9OCl.C分子中有二条侧链,苯环上一氯代物只有二种,其核磁共振氢谱图中有五个吸收峰,吸收峰的面积之比为1:2:2:2:2,可知C的结构简式为 ,由转化关系可反应条件可知D为
,由转化关系可反应条件可知D为 ,E为
,E为 ,I为
,I为 ,F为
,F为 ,G为
,G为 ,H为
,H为 ,B为
,B为 ,A为
,A为 。(1)根据上述分析及题给转化关系知,C→F的为卤代烃的消去反应,反应类型是消去反应;H的结构简式是见解析;(2)C分子中的官能团名称氯原子、醛基,最少有8个碳原子共面;(3)D与银氨溶液反应醛基被氧化为羧基,E→I生成聚酯类高分子化合物,相关化学方程式见答案;(4)D的一种同系物W分子式为C8H8O2。①属于芳香族化合物②遇FeCl3溶液不变紫色,不含酚羟基;③1 mol W可与含2 mol NaOH的溶液,含有酯基,且水解生成羧基和酚羟基;应为乙酸苯酚酯、甲酸苯酚酯(含有甲基,有邻、间、对3种),共4种,结构简式见答案。
。(1)根据上述分析及题给转化关系知,C→F的为卤代烃的消去反应,反应类型是消去反应;H的结构简式是见解析;(2)C分子中的官能团名称氯原子、醛基,最少有8个碳原子共面;(3)D与银氨溶液反应醛基被氧化为羧基,E→I生成聚酯类高分子化合物,相关化学方程式见答案;(4)D的一种同系物W分子式为C8H8O2。①属于芳香族化合物②遇FeCl3溶液不变紫色,不含酚羟基;③1 mol W可与含2 mol NaOH的溶液,含有酯基,且水解生成羧基和酚羟基;应为乙酸苯酚酯、甲酸苯酚酯(含有甲基,有邻、间、对3种),共4种,结构简式见答案。
本题难度:一般
2、填空题  丙酸丙酯是一种香料,可以用下面的设计方案合成
(1)写出A、B、C的结构简式A__________,B__________,C__________。 
(2)D有很多同分异构体,含有羧基的一共有__________(填数字)种,在这几种同分异构体中,烃基上一氯取代物有2种的是(用结构简式表示)__________________。 
参考答案:(1)CH3CH2CHO;CH3CH2COOH;CH3CH2CH2OH 
(2)7;
本题解析:
本题难度:一般
3、实验题  (18分)A和B在一定条件下可合成芳香族化合物E,G在标准状况下是气体,此情况下的密度为1.25g/L。各物质间相互转化关系如下所示: ?
?
请回答下列问题:
(1)G中的官能团是?(用化学式表示),D中的官能团名称是 ?,F的结构简式为?。
(2)指出反应类型:①?,②?,③?。
(3) 写出化学方程式:A→C?;
 C与新制的氢氧化铜悬浊液反应:?。
(4)满足下列条件的B的同分异构体有?种。
①遇FeCl3溶液显紫色?②能发生银镜反应?③苯环上只有两个取代基
参考答案:(每空2分,共18分)
(1)
(2)①取代反应 (酯化反应)②?消去反应③加聚反应
(3)2CH3CH2OH+O2 2CH3CHO+H2O
2CH3CHO+H2O
CH3CHO+2Cu(OH)2 CH3COOH+Cu2 O↓+2H2O
CH3COOH+Cu2 O↓+2H2O
(4) 3
本题解析:略
本题难度:简单
4、填空题  (15分)
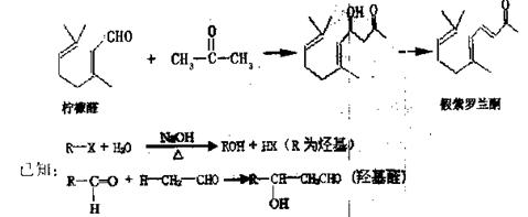
已知丙酮与柠檬醛在一定条件下反应可以合成假紫罗兰酮,再进一步可以合成有工业价值的紫罗兰酮,如:
下图是合成有机物A的路线图,反应条件和一些不必列出的产物等均已删去。
(1)⑥中官能团的名称是?。
(2)写出结构简式②?⑤?⑥?。
(3)写出化学方程式①→②?,反应类型?;
⑤→⑥?,反应类型?。
(4)⑤的某种同分异构体符合下列条件,写出所有可能的结构简式?。
a.无支链? b.能发生银镜反应? c.核磁共振氢谱有四组吸收峰
参考答案:

本题解析:略
本题难度:一般
5、推断题  物质A有如下转化
(1)A的分子式为________,含有的官能团为________(写名称). 
(2)A→C的化学方程式为__________________________,反应类型为________. 
(3)B的同分异构G、H能与浓溴水反应,且结构中均含有一个-CH3,1?mol?H消耗3?mol?Br2,1?mol?G消耗2?mol?Br2,H的结构简式______________,G的结构简式_______________. 
(4)已知在一定条件?下R1CH=CHR2→R1CHO+?R2CHO,A在一定条件下氧化生成羧酸X、Y?,X的分子式为C7H6O2,它是芳香族化合物,Y是一种还原性的二元羧酸.写出两类含有醛基X的同分异构体______________,?________________. 
参考答案:(1)C9H8O2;碳碳双键、醛基、酚羟基
(2) ;氧化反应
;氧化反应
(3) ;
;
(4)
本题解析:
本题难度:一般