时间:2017-08-01 00:54:12
1、选择题 A、B、C都是有机化合物,且有如下转化关系:A
B
C。A的相对分子质量比B大2,C的相对分子量比B大16,C能与NaOH反应,以下说法正确的是
A. A是乙烯,B是乙烷 ?B. A是乙炔,B是乙烯
C. A是环己烷,B是苯 ?D. A是乙醇,B是乙醛
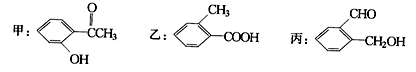
2、简答题 (8分)今有化合物:
(1)请写出丙中含氧官能团的名称:?。
(2)请判别上述哪些化合物互为同分异构体:?。
(3)鉴别乙的方法(指明所选试剂及主要现象即可):?。?
(4)请按酸性由强至弱排列甲、乙、丙的顺序:?。
3、选择题 下列有关乙醇的物理性质的应用中不正确的是
[? ]
A.由于乙醇容易挥发,所以才有俗语“酒香不怕巷子深”的说法
B.由于乙醇能够溶解很多有机物和无机物,所以可用乙醇提取中药的有效成分
C.由于乙醇能够以任意比溶解于水,所以酒厂可以勾兑各种浓度的酒
D.由于乙醇的密度比水小,所以乙醇中的水可以通过分液的方法除去
4、选择题 质量为mg的铜丝灼烧后,立即插入下列物质中,观察到铜丝变红,且质量仍为mg的是?
A.硝酸
B.硫酸
C.乙酸
D.乙醇
5、填空题 (5分)乙醇是一种重要的有机化工原料,它可以用玉米、薯类等为原料经发酵、蒸馏制成。乙醇和汽油经加工处理形成的车用燃料即乙醇汽油。结合有关知识,回答下列问题:
(1)在试管里加入2mL乙醇。把一端弯成螺旋状的铜丝放在酒精外焰中加热,使铜丝表面生成一薄层黑色的氧化铜,立即把它插入盛有乙醇的试管里(如图),取出铜丝,可以观察到铜丝表面?。
(2)写出乙醇与氧气催化氧化的化学反应方程式?。
(3)乙醇汽油作为一种新型车用燃料,符合我国的能源战略,推广使用乙醇汽油的好处是(写出一条即可)?。