时间:2017-07-31 23:59:27
1、推断题  (i)今有分子量为58的几种有机物,试写出符合条件的有机物的结构简式
(1)若该有机物为烃,则可能的结构简式为:_________、_________。
(2)若该有机物是一种饱和一元醛,则其结构简式为:_________。
(3)若该有机物1mol能与足量银氨溶液作用可析出4molAg,则有机物的结构简式为:_________。
(4)若该有机物既能与金属钠反应放出氢气,又能使溴的四氯化碳溶液褪色,则该有机物结构简式可能是_________。(注:羟基连在双键上的有机物极不稳定) 

请回答下列问题:
(1)若丙的相对分子质量为58,1 mol丙完全燃烧可产生3.0 mol CO2和3.0 mol H2O,且丙分子中不含甲基,为链状结构,则其结构简式是_________。
(2)反应Ⅰ的条件是_________;反应Ⅳ的反应类型是_________。
(3)乙的结构简式是_________;反应Ⅵ的化学方程式是_________。 
参考答案:(i)(1)CH3CH2CH2CH3、CH3CH(CH3)2;(2)CH3CH2CHO;(3)OHC-CHO;(4)CH2=CH-CH2OH
(ii)(1)CH2=CHCH2OH;(2)铁粉(或氯化铁)作催化剂;取代反应;(3)ClCH2COOH;
本题解析:
本题难度:困难
2、推断题  根据图示回答下列问题:
(1) 写出A、E、G的结构简式: A_______________,E______________,G______________; 
(2) 反应②的化学方程式(包括反应条件)是_________________________, 反应⑤化学方程式是_____________________________;
(3) 写出③、④的反应类型:③_______________、④________________。 
参考答案:(1)CH2=CH2; ;HOOC(CH2)4COOH。
;HOOC(CH2)4COOH。 
(2)ClCH2CH2Cl+NaOH CH2=CHCl+NaCl+H2O;
CH2=CHCl+NaCl+H2O; 
nHOCH2CH2OH+nHOOC(CH2)4COOH H[OCH2CH2OOC(CH2)4CO]nOH+(2n-1)H2O。
H[OCH2CH2OOC(CH2)4CO]nOH+(2n-1)H2O。
 (3)③加聚反应;④取代(水解)反应。
本题解析:
本题难度:一般
3、简答题  2010年美、日三位科学家因钯(Pd)催化的交叉偶联反应获诺贝尔化学奖.一种钯催化的交叉偶联反应如下:
(R、R’为烃基或其他基团)
应用上述反应原理合成防晒霜主要成分K的路线如图所示(部分反应试剂和条件未注明):
已知:①B能发生银镜反应,1mol?B?最多与2mol?H2?反应.
②C8H17OH分子中只有一个支链,且为乙基,其连续氧化的产物能与NaHCO3反应生成CO2,其消去产物的分子中只有一个碳原子上没有氢.
③G不能与NaOH溶液反应.
④核磁共振图谱显示J分子有3种不同的氢原子.
请回答:
(1)B中含有的官能团的名称是______.
(2)B→D的反应类型是______.
(3)D→E的化学方程式是______.
(4)有机物的结构简式:G______;K______.
(5)符合下列条件的X的同分异构体有(包括顺反异构)______种,其中一种的结构简式是______.
a.相对分子质量是86?b.与D互为同系物
(6)分离提纯中间产物E的操作:先用碱除去D和H2SO4,再用水洗涤,弃去水层,最终通过______操作除去C8H17OH,精制得E.
参考答案:B的分子式为C3H4O,B能发生银镜反应,含有醛基-CHO,1molB最多与2molH2反应,故分子中还含有1个C=C,故B的结构简式为CH2=CH-CHO,由B、D的分子式可知,B中-CHO氧化为-COOH,D为CH2=CH-COOH.C8H17OH是饱和链烃,分子中只有一个支链,且为乙基,其连续氧化的产物能与NaHCO3反应生成CO2,-OH位于端位,其消去产物的分子中只有一个碳原子上没有氢,故该物质结构简式为CH3CH2CH2CH2CH(CH2CH3)CH2OH,D与C8H17OH发生酯化反应生成E,E为CH2=CH-COOCH2CH(CH2CH3)CH2CH2CH2CH3,由F的分子式可知,为苯酚
,由F、G的分子式是可知,F发生取代反应生成G,G不能与NaOH溶液反应,不含酚羟基,故G为
,由G与J飞分子式可知,G反应取代反应生成J,核磁共振图谱显示J分子有3种不同的氢原子,应发生苯环上-OCH3的对位取代,J为
,由反应条件可知,J与E反应信息中的反应,为取代反应,故K为
,
(1)由上述分析可知,B为CH2=CH-CHO,含有碳碳双键、醛基,故答案为:碳碳双键、醛基;
(2)B→D是CH2=CH-CHO中-CHO氧化为-COOH,生成为CH2=CH-COOH,属于氧化反应,故答案为:氧化反应;
(3)D→E是CH2=CH-COOH与C8H17OH发生酯化反应生成E,E为CH2=CH-COOCH2CH(CH2CH3)CH2CH2CH2CH3,反应方程式为:
,
故答案为:
;
(4)由上述分析可知,G是
;K是
,故答案为:
;
;
(5)X的同分异构体(包括顺反异构),与D(CH2=CH-COOH)互为同系物,含有C=C、-COOH,相对分子质量是86,
故比D多1个CH2原子团,符合条件的同分异构体有:CH2=C(CH3)-COOH、CH2=CH-CH2-COOH、
、
,
故答案为:4;CH2=C(CH3)-COOH、CH2=CH-CH2-COOH、
、
(任意1种);
(6)分离提纯中间产物E的操作:用碱除去D和H2SO4,再用水洗涤,弃去水层,E与C8H17OH混溶,用蒸馏方法除去C8H17OH,精制得E,故答案为:蒸馏.
本题解析:
本题难度:一般
4、填空题  [化学—选修有机化学基础](15分).
雷诺嗪是治疗慢性心绞痛首选新药。雷诺嗪合成路线如下:
(1)雷诺嗪中含氧官能团,除酰胺键(-NHCO-)外,另两种官能团名称:____、____。
(2)写出满足下列条件A的同分异构体的数目____。
①A能与FeCl3溶液发生显色反应;②1molA可与2molNaOH反应。
(3)C→D中,加入适量NaOH的作用是:____________。
(4)从雷诺嗪合成路线得到启示,可用间二甲苯、ClCH2COCl、(C2H5)2NH(无机试剂任用)合成盐酸利多卡因,请在横线上补充反应物,在方框内补充生成物。
已知:

参考答案:(15分).(1)羟基、醚键(2分,)?(2)6 (2分)
(3)与取代产物HCl作用,使平衡向生成D的方向移动,提高D的产率(2分)。
(4)
本题解析:略
本题难度:一般
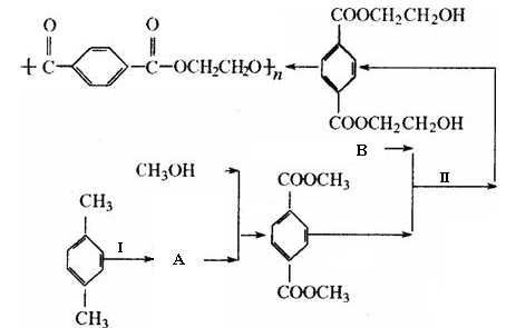
5、实验题  的确良的化学成分是聚对苯二甲酸乙二酯(结构简式如下图)。在上个世纪六、七十年代,人们也称其为“的确凉”、“的确靓”。现代的人们选择衣料大都重全棉,轻化纤,认为全棉质料的衣物穿着透气舒服。可在那个年代却恰恰相反,那时化纤布料刚刚进入市场不久,价格比棉质布料要贵不少。按当时普通人家的生活水平,拥有一件的确良衬衫简直就是“身份的象征”。
请回答下列各个问题:
(1)制备聚对苯二甲酸乙二酯的单体是?。其链节是?。
(2)下面是制备聚对苯二甲酸乙二酯的一种方法:
① 写成A、B有机化合物的结构简式:?、?。
② 反应I需要的试剂是?。
③ 反应II的反应类型是?。
(3)成品聚对苯二甲酸乙二酯是一种结晶性好,无色透明,极为坚韧的材料。有玻璃的外观,无臭、无味、无毒,易燃,燃烧时,产生蓝色边缘的黄色火焰。其燃烧反应属于?。
A.聚合反应? B.加成聚合反应? C.缩合聚合反应? D.高分子化学反应
参考答案:
(1) (2分)、HO—CH2CH2—OH(2分)
(2分)、HO—CH2CH2—OH(2分) (2分)
(2分)
(2)① (2分);HO—CH2CH2—OH (2分) ② 酸性高锰酸钾溶液(2分)?③取代反应(2分)
(2分);HO—CH2CH2—OH (2分) ② 酸性高锰酸钾溶液(2分)?③取代反应(2分)
(3)D(1分)
本题解析:
(1)制备聚对苯二甲酸乙二酯的单体是对苯二甲酸和乙二醇;其链节是 。
。
(2)采用逆推法,不难确定A为苯甲酸,对二甲苯在酸性高
锰酸钾溶液的氧化下氧化为对二苯甲酸;B为乙二醇。反应II属于酯的交换,属于取代反应。(3)成品聚对苯二甲酸乙二酯是一种结晶性好,无色透明,极为坚韧的材料。有玻璃的外观,无臭、无味、无毒,易燃,燃烧时,产生蓝色边缘的黄色火焰。其燃烧反应属于高分子化学反应。
本题难度:困难