时间:2017-07-18 01:35:38
1、推断题 下图中?A、B、C、D、E均为有机化合物。已知:C能跟NaHCO3发生反应,C和D的相对分子质量相等,且E为无支链的化合物。
根据上图回答问题:
(1)已知E的相对分子质量为102,其中碳、氢两种元素的质量分数分别为58.8%、9.8%,其余为氧,则E的分子式为__________;C分子中的官能团名称是?______________;化合物B不能发生的反应是___________?(填字母序号):?
a.加成反应?b.取代反应?c.消去反应?d.酯化反应?e.水解反应?f.置换反应
(2)反应②的化学方程式是__________________________________。
(3)A的分子式是?_________________________。
(4)同时符合下列三个条件的B的同分异构体的数目有四个。
Ⅰ.?含有间二取代苯环结构?Ⅱ.属于非芳香酸酯?Ⅲ.与?FeCl3?溶液发生显色反应。
写出其中任意两个同分异构体的结构简式?_________________。
2、推断题 以下是合成涤纶的路线:
(1)指出①的反应类型:________? __? _______。
(2)从②反应后的混合液中获得纯净B的方法是__________________,1mol B完全燃烧消耗O2物质的量为________________。
(3)写出有关反应化学方程式:②______________________,③____________________。
(4)③的一种反应物分子式为:C8H6O4写出它的其他属于芳香类羧酸的同分异构体的结构简式:_________? ____、_______? ________。
3、填空题 甲苯是一种重要的化工原料。某化学实验小组从甲苯经一系列反应合成了化合物C。已知:
(1)R-Br+Mg
R-MgBr
(2)

请完成下列各题:
(1)反应①是原子利用率100%的反应,物质X的分子式是_____________。
(2)反应②、③的反应类型分别为 ________、______。
(3)物质A为__________ 。
(4)根据以上信息,请设计合理方案以乙烯和CH3MgBr为主要原料合成2,3-丁二醇(其他原料自选,用反应流程图表示,并注明必要的反应条件)。 例:
由乙醇合成聚乙烯的反应流程图可表示为: CH3CH2OH
CH2=CH2
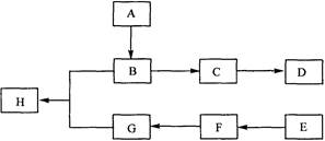
4、判断题 (16分)下图中A、B、C、D、E、F、G、H均为有机化合物。
回答下列问题:
(1)有机化合物 A的相对分子质量小于60,A能发生银镜反应,1molA在催化剂作用下能与3 mol H2反应生成B,则A的结构简式是___________________,由A生成B的反应类型是?;
(2)B在浓硫酸中加热可生成C,C在催化剂作用下可聚合生成高分子化合物D,由C生成D的化学方程式是__________________________;
(3)①芳香化合物E的分于式是C8H8Cl2。E的苯环上的一溴取代物只有一种,则E的所有可能的结构简式是_______________________________________________
②E在NaOH溶液中可转变为F,F用高锰酸钾酸性溶液氧化生成G(C8H6O4)。1 mol G与足量的 NaHCO3溶液反应可放出 44.8 L CO2(标准状况),由此确定E的结构简式是__________________________________________________
(4)G和足量的B在浓硫酸催化下加热反应可生成H,则由G和B生成H的化学方程式是___________________________________,该反应的反应类型是________________。
5、推断题 (1)测定有机化合物中碳和氢的组成常用燃烧分析法。若已知某试样是纯净物,测出碳与氢的原子个数比为11:23,能否确定其为何种烃?_______(填“能”或“不 能”),若能,写出其分子式________(若不能,此空不必 回答)。
碱存在条件下,卤代烃与醇反应生成醚:R-X+R1-OH
R-O-R1+HX。A完全燃烧的产物为CO2、
H2O,以A为原料合成四氢呋喃的途径如下
(2)A的1H-NMR图有五个峰,峰面积之比为2:1:2:2:1,且1 mol A只能与1 mol H2在一定条件下恰好完全反应,生成饱和一元醇,则A的分子中含有官能团的名称为_______、________,A的结构简式为_____________,
(3)化合物B具有的化学性质有_______;
A.可发生氧化反应
B.强酸或强碱条件下均可发生消去反应
C.可发生酯化反应
D.催化条件下可发生加聚反应
(4)D的结构简式为________________;
(5)化合物C与NaOH水溶液反应的化学方程式为_____________________。