时间:2017-07-18 01:05:09
1、填空题  写出下列有关反应的化学方程式: 
(1)乙烷在氧气中燃烧_______________________。 
(2)乙烯通入溴水中_______________________。 
(3)苯与浓硝酸在浓硫酸和加热的条件下反应_______________________。 
(4)乙醇和氧气在铜作催化剂下反应_______________________。
2、推断题  含有氨基(-NH2)的化合物通常能够与盐酸反应,生成盐酸盐。如:R-NH2+HCl→R-NH2·HCl(-R代表烷基、苯基等) 现有两种化合物A和B,它们互为同分异构体。
已知:
①它们都是对位二取代苯;
②它们的相对分子质量都是137;
③A既能被NaOH溶液中和,又可以跟盐酸成盐,但不能与FeCl3溶液发生显色反应;B既不能被NaOH溶液中和,也不能跟盐酸成盐;
④它们的组成元素只能是C、H、O、N、Cl中的几种。请按要求填空:
(1)A和B的分子式是_____________________。
(2)A的结构简式是______________________;B的结构简式是__________________________。 
3、填空题  (10分)煤的气化和液化是使煤变成清洁能源的有效途径。煤气化的主要反应是:C+H2O(g)——CO+H2,CO和H2的混合气体是合成多种有机物的原料气。下图是合成某些物质的路线。其中,D易溶于水,且与CH3COOH互为同分异构体,既能与银氨溶液反应,又能发生酯化反应;F分子中的碳原子数是D的3倍;H经催化氧化可得到G。请回答下列问题:
(1)写出下列物质的结构简式:E___________B__________;E与H是否属于同系物:________________(填是或否)。
(2)D的同分异构体除CH3COOH外还有:___________________;
(3)写出下列反应的化学方程式:
C+H_____________________________________________;
D与银氨溶液反应________________________________________。
(4)A为工业常用燃料。某同学将A完全燃烧,产生的二氧化碳气体通入澄清石灰水中。
若该同学实验时共取了200mL0.1mol/L的石灰水,通入一定量的二氧化碳后,得到1g沉淀,那么,他通入的二氧化碳标况下的体积可能为___________________________。
4、推断题  已知:
③某芳香烃A的蒸汽密度是同温同压下氢气密度的59倍,仅连一个含有甲基的支链。下图表示A~K的转化关系,其中K是高分子化合物。
回答下列问题:
(1)A的结构简式:____________C中官能团的名称:_____________。? 
(2)G→J的反应类型:______________________,F也可以经一步反应后酸化生成J,其反应条件是:___________________。
(3)写出由G可制得含三个六元环的有机物的结构简式:_________________。? 
(4)写出下列化学方程式 
D与新制Cu(OH)2反应:____________________。 J→K:_________________________?。
(5)E的同分异构体有多种,则其中属于苯的三取代物,满足结构为 ,又能发生银镜反应,遇FeCl3溶液又能呈紫色的同分异构体有_________种。
,又能发生银镜反应,遇FeCl3溶液又能呈紫色的同分异构体有_________种。 
5、填空题  (1)下列叙述正确的是______(每小题只有一个正确答案,下同)。 
A. 苯和1-己烯不能用酸性高锰酸钾溶液将其区别开
B. 甲苯和丙烯分子中所有原子均处于同一平面 
C. 相同温度时,甘油比乙醇在水中溶解性更小
D. 邻二甲苯苯环上的一氯代物有2种(不考虑立体异构) 
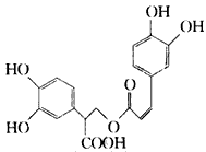
(2)迷迭香酸是从植物中提取得到的酸性物质,其结构如图。下列叙述正确的是_____________ 
A. 迷迭香酸的分子式是C18H20O8
B. l mol 迷迭香酸最多能和9 mol 氢气发生加成反应 
C. 迷迭香酸可以发生水解反应、取代反应和酯化反应
D. 1 mol迷迭香酸最多能和含5 mol NaOH的水溶液完全反应 
丙烯和乙烯一样,都是重要的化工原料。由丙烯经下列有机反应可得到F、G两种常用的塑料。请回答下列问题
(3)丙烯中官能团的名称是________;F的结构简式是_______。
(4)写出B→C的化学方程式:________________。 
(5)一定条件下,两分子E之间脱去一分子水生成一种具有芳香气味的有机物,请写出该反应的化学方程式:________________,其反应类型是________;若两分子F之间脱去两分子水生成一种六元环化合物,该化合物的结构简式是___________________ 
(6)写出与E具有相同官能团的同分异构体H的结构简式:________,其核磁共振氧潜有____种类型氢原子的吸收峰。0. 1 mol H与足量金属钠反应生成的氢气在标准状况下的体积是________。