?
²Î¿¼´ð°¸£º(1)C12H16O¡¡(2)1?±û´¼(»òÕý±û´¼)
 (5) ÐòºÅ Ëù¼ÓÊÔ¼Á¼°·´Ó¦Ìõ¼þ ¢Ù H2£¬´ß»¯¼Á(»òNi¡¢Pt¡¢Pd)£¬¡÷ ¢Ú ŨH2SO4£¬¡÷ ¢Û Br2(»òCl2) ¢Ü NaOH£¬C2H5OH£¬¡÷
±¾Ìâ½âÎö£º(1)Éè£Ã¸öÊýΪ£Ø£¬£È¸öÊýΪ£Ù,ÒòΪ£Ø£º£Ù£½£³£º£´£¬12X+Y+16=176 ËùÒÔX=12?Y="16" £¬¼´AµÄ·Ö×ÓʽΪC12H16O¡£ £¨2£©AÔÚËáÐÔµÄË®ÈÜÒºÖбä³ÉBºÍE£¬AÊÇÓÐÌþ»ùÏ©»ùµÄÃÑ£¬ÄܼӳɺÍË®½â¡£EÖÐÓÐ9¸öC£¬AÖÐÓÐ12¸ö£¬ËµÃ÷BÖÐÓÐ3¸ö£¬ÓÖÒòΪC×îºóÊǾ¹ýÒø°±ÈÜÒº£¬ËµÃ÷ÓÐCÖÐÓÐ-CHO¹ÙÄÜÍÅ£¬ÔòBÊÇÒ»¸öº¬ÓÐÈý¸ö̼µÄ´¼£¬ÇÒBµÄÏà¶Ô·Ö×ÓÖÊÁ¿Îª60£¬¹ÊBΪ±û´¼¡£ £¨3£©C DÊÇÒø¾µ·´Ó¦£¬ÓÖCΪ±ûÈ©£¬¹Ê·½³ÌʽΪ CH3CH2CHO£«2[Ag(NH3)2]OH CH3CH2COONH4£«2Ag£«3NH3£«H2O £¨4£©Í¬·ÖÒì¹¹Ì壺»¯Ñ§Ê½Ïàͬ£¬½á¹¹²»Í¬µÄ»¯ºÏÎï¡£ £¨5£©ÒÀÌâÒâ¿ÉÖªEµÄ»¯Ñ§Ê½Îª ,FµÄ»¯Ñ§Ê½Îª ,GµÄ»¯Ñ§Ê½ÊÇ £¬HµÄ»¯Ñ§Ê½ÊÇ £¬ÀûÓüӳɡ¢ÏûÈ¥¡¢Â±´ú¡¢ÏûÈ¥µÄ·½·¨£¬×îºóÖÆ³É¼×»ùÒÒȲ¡£ µãÆÀ£º´ËÌ⿼ºËÖÚ¶à·´Ó¦ÀàÐÍ£¬°üÀ¨¼Ó³É¡¢ÏûÈ¥¡¢Â±´úµÈ£¬ÊìÏ¤ÕÆÎÕÓлúÎï¼äµÄת»¯£¬²ÅÄÜÓÐЧµÄ½â¾ö´ËÀàÍÆ¶ÏÌ⣬´ËÌâÊôÓÚÖеÈÄѶȡ£
±¾ÌâÄѶȣºÀ§ÄÑ
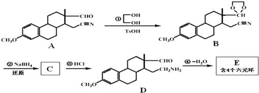
2¡¢¼ò´ðÌâ Ò©ÎïE¾ßÓп¹°©ÒÖ¾ú¹¦Ð§£¬ÆäºÏ³É·ÏßÈçÏ£º£¨B¡¢D·Ö×ÓÖÐδ²Î¼Ó·´Ó¦µÄ²¿·ÖÊ¡ÂÔ£©
 £¨1£©ºÜ¶àÒ©Îï·Ö×ÓÓÐÊÖÐÔ̼¶ø¾ßÓÐÐý¹âÐÔ£¬A·Ö×ÓÖÐÓÐ______¸öÊÖÐÔ̼Ô×Ó£® £¨2£©CµÄ½á¹¹¼òʽΪ______£¬EµÄ½á¹¹¼òʽΪ______£® £¨3£©Éè¼Æ·´Ó¦¢ÙµÄÄ¿µÄÊÇ______£® £¨4£©AÓëÒø°±ÈÜÒº·´Ó¦µÄ»¯Ñ§·½³ÌʽΪ£¨AÒÔR-CHO±íʾ£©______£® £¨5£©ÔĶÁÒÔÏÂÐÅÏ¢£¬ÒÀ¾ÝÒÔÉÏÁ÷³ÌͼºÍËù¸øÐÅÏ¢£¬ÒÔ
 ºÍ
 Ϊ ÔÁÏÉè¼ÆºÏ³É°±»ùËá
 µÄ·Ïߣ®ÒÑÖª£º
 Ìáʾ£º¢ÙºÏ³É¹ý³ÌÖÐÎÞ»úÊÔ¼ÁÈÎÑ¡£¬¢ÚºÏ³É·´Ó¦Á÷³Ìͼ±íʾ·½·¨Ê¾ÀýÈçÏ£ºA BC¡¡úH£®______£®
²Î¿¼´ð°¸£º£¨1£©µ±Ì¼Ô×ÓÁ¬½Ó4¸ö²»Í¬µÄÔ×Ó»òÔ×ÓÍÅʱΪÊÖÐÔ̼Ô×Ó£¬A·Ö×ÓÖеÄÊÖÐÔ̼Ô×ӿɱê*£¬Èçͼ£º
 £¬¹²4¸ö£¬¹Ê´ð°¸Îª£º4£» £¨2£©BÉú³ÉCµÄ·´Ó¦Îª»¹Ô·´Ó¦£¬-C¡ÔNÉú³É-CH2NH2£¬CΪ

£¬ DÉú³ÉEΪÍÑË®·´Ó¦Éú³ÉÁùÔª»·£¬-CHOºÍ-CH2NH2Éú³É-C=N-£¬DΪ

£¬ ¹Ê´ð°¸Îª£º

£»

£» £¨3£©È©»ùÔÚÓлúºÏ³ÉÖÐÒ×±»Ñõ»¯ºÍ»¹Ô£¬¹ÊÓ¦Ïȱ£»¤£¬¶øºóÊͷųöÀ´£¬¹Ê´ð°¸Îª£º±£»¤È©»ù²»±»»¹Ô£» £¨4£©AÖк¬ÓÐ-CHO£¬¿É·¢ÉúÒø¾µ·´Ó¦£¬·´Ó¦µÄ·½³ÌʽΪRCHO+2Ag£¨NH3£©2++2OH-?¡÷
±¾Ìâ½âÎö£º
±¾ÌâÄѶȣºÒ»°ã
3¡¢¼ò´ðÌâ Âȶ¡Ïð½ºE( )µÄºÏ³É·ÏßÈçÏ£º
 ÒÑÖª ÊDz»Îȶ¨½á¹¹¡£ (1)Âȶ¡Ïð½ºÖйÙÄÜÍŵÄÃû³ÆÊÇ________¡£ (2)¢ÚµÄ·´Ó¦Ìõ¼þºÍÎÞ»úÊÔ¼ÁÊÇ________¡£ (3)ÈôAΪ·´Ê½½á¹¹£¬Óýṹ¼òʽ±íʾAµÄ½á¹¹ÊÇ____________¡£ (4)¢ÜµÄ»¯Ñ§·½³ÌʽÊÇ______________________¡£ (5)BµÄͬ·ÖÒì¹¹ÌåÓжàÖÖ£¬Ð´³öÊôÓÚõ¥ÀàÇÒÄÜ·¢ÉúÒø¾µ·´Ó¦µÄËùÓÐͬ·ÖÒì¹¹ÌåµÄ½á¹¹¼òʽ£º____________________¡£
²Î¿¼´ð°¸£º(1)̼̼˫¼ü¡¢ÂÈÔ×Ó (2)¼ÓÈÈ¡¢NaOHË®ÈÜÒº (3) ? (4)CH2OHCHClCH2CH2OH CH2===CCl¡ªCH===CH2£«2H2O (5)HCOOCH2CH2CH3¡¢HCOOCH(CH3)2

±¾Ìâ½âÎö£º±¾Ì⿼²éÓлúºÏ³É£¬ÒâÔÚ¿¼²é¿¼ÉúÁé»îÔËÓÃÐÅÏ¢½øÐзÖÎöÍÆÀíµÄÄÜÁ¦¡£(2)¸ù¾ÝAµÄ½á¹¹¼òʽºÍBµÄ·Ö×Óʽ¿ÉÍÆ³ö¢ÚÊDZ´úÌþµÄË®½â·´Ó¦£¬¸Ã·´Ó¦ÐèÒªÔÚNaOHË®ÈÜÒºÖнøÐУ¬ÎªÁ˼ӿ췴ӦËÙÂÊ£¬Í¨³£ÐèÒª¼ÓÈÈ¡£(4)½â´ð±¾Ð¡ÌâµÄ¹Ø¼üÊÇÍÆ³öC¡¢DµÄ½á¹¹¼òʽ¡£DµÄ½á¹¹¼òʽ¿ÉÒÔÓÉÂȶ¡Ï𽺵Ľṹ¼òÊ½ÄæÍÆµÃµ½£¬DΪ ¡£¸ù¾Ý·´Ó¦¢Ú¿ÉÖªBµÄ½á¹¹¼òʽӦΪHOCH2¡ªCH===CH¡ªCH2OH¡£´ÓBµ½D£¬ÒýÈëÁËÒ»¸öÂÈÔ×Ó£¬ÇÒ̼̼˫¼üÓÉÒ»¸öÔö¼Óµ½Á½¸ö£¬Òò ÊDz»Îȶ¨½á¹¹£¬¹Ê¿ÉÒÔÏÈʹBÓëHCl·¢Éú¼Ó³É·´Ó¦Éú³ÉC£¬ÔÙͨ¹ý´¼µÄÏûÈ¥·´Ó¦Éú³ÉD£¬ËùÒÔCµÄ½á¹¹¼òʽÊÇCH2OHCHClCH2CH2OH¡£¾Ý´Ë¼´¿Éд³ö·´Ó¦¢ÜµÄ»¯Ñ§·½³Ìʽ¡£(5)·ûºÏÒªÇóµÄͬ·ÖÒì¹¹ÌåӦΪ¼×Ëáõ¥£¬¼´HCOOC3H7£¬Æä½á¹¹¼òʽÓÐÁ½ÖÖ£ºHCOOCH2CH2CH3¡¢HCOOCH(CH3)2¡£
±¾ÌâÄѶȣºÒ»°ã
4¡¢Ñ¡ÔñÌâ »¯ºÏÎï±û¿ÉÓÉÈçÏ·´Ó¦µÃµ½£º
 ±ûµÄ½á¹¹²»¿ÉÄÜÊÇ£¨¡¡¡¡£© A£®CH3CBr2CH2CH3 B£®£¨CH3£©2CBrCH2Br C£®C2H5CHBrCH2Br D£®CH3£¨CHBr£©2CH3
²Î¿¼´ð°¸£ºA
±¾Ìâ½âÎö£º
±¾ÌâÄѶȣº¼òµ¥
5¡¢¼ò´ðÌâ 6-ôÊ»ù¸ýËáÊÇÒ»ÖÖÖØÒªµÄ»¯¹¤ÖмäÌ壬ÏÂÃæºÏ³ÉËüµÄÁ÷³Ìͼ£º
 ÒÑÖª£º
 £¨1£©·´Ó¦¢ÙµÄÌõ¼þÊÇ______£¬·´Ó¦ÀàÐÍÊÇ______£® £¨2£©ÏÂÁÐ˵·¨ÖÐÕýÈ·µÄÊÇ______£º a£®1molCÓë×ãÁ¿µÄNa·´Ó¦Éú³É1molH2?b£®CÄܱ»´ß»¯Ñõ»¯³Éͪ c£®Ni´ß»¯ÏÂ1molG×î¶àÖ»ÄÜÓë1molH2¼Ó³É?d£®FÄÜ·¢ÉúÏûÈ¥·´Ó¦Éú³ÉÁ½ÖÖ²»Í¬Ï©Ìþ £¨3£©EÓëÐÂÖÆCu£¨OH£©2µÄ»¯Ñ§·½³ÌʽΪ______£® £¨4£©GµÄͬ·ÖÒì¹¹ÌåÓжàÖÖ£®Çëд³ö½á¹¹Öк¬ÓÐ
 ¡¢ÇÒÊôÓÚõ¥ÀàµÄͬ·ÖÒì¹¹Ì壺______¡¢______¡¢______£® £¨5£©ÒÑÖª¡°Diels-Alder·´Ó¦¡±Îª£º
 £®ÎïÖÊDÓëß»à«
 Ò²¿ÉÒÔ·¢Éú¡°Diels-Alder·´Ó¦¡±£¬¸Ã»¯Ñ§·´Ó¦·½³ÌʽΪ______£®
²Î¿¼´ð°¸£ºÓɺϳÉÁ÷³Ìͼ¿ÉÖª£¬A¡úBΪÏûÈ¥·´Ó¦£¬BΪCH2=
 £¬B¡úCΪÓëË®µÄ¼Ó³É·´Ó¦£¬C¡úDΪÏûÈ¥·´Ó¦£¬½áºÏÐÅÏ¢¿ÉÖª£¬D¡úE·¢ÉúÑõ»¯·´Ó¦£¬ÇÒEÓëÐÂÖÆCu£¨OH£©2·´Ó¦£¬ÔòEΪ

£¬E¡úG·¢ÉúÑõ»¯·´Ó¦£¬B¡úFΪÓëHBr·¢ÉúµÄ¼Ó³É·´Ó¦£¬F¡úDΪ±´úÌþµÄÏûÈ¥·´Ó¦£¬ £¨1£©ÓÉÉÏÊö·ÖÎö¿ÉÖª·´Ó¦¢ÙΪ±´úÌþµÄÏûÈ¥·´Ó¦£¬Ôò·´Ó¦Ìõ¼þΪNaOHµÄ´¼ÈÜÒº¡¢¼ÓÈÈ£¬¹Ê´ð°¸Îª£ºNaOHµÄ´¼ÈÜÒº¡¢¼ÓÈÈ£»ÏûÈ¥·´Ó¦£»? £¨2£©a£®ÒòCÖк¬ÓÐ1¸öOH£¬Ôò1molCÓë×ãÁ¿µÄNa·´Ó¦Éú³É0.5molH2£¬¹Êa´íÎó£» b£®ÒòCÖÐÓë-OHÏàÁ¬µÄ̼Ô×ÓÉÏûÓÐH£¬ÔòC²»Äܱ»´ß»¯Ñõ»¯³Éͪ£¬¹Êb´íÎó£» c£®ÒòGÖк¬C=O£¬ÔòÔÚNi´ß»¯ÏÂ1molG×î¶àÖ»ÄÜÓë1molH2¼Ó³É£¬¹ÊcÕýÈ·£» d£®ÓÉFµÄ½á¹¹¿ÉÖª£¬-OHÓë¼×»ùÉϵÄH»ò»·×´½á¹¹ÖÐÑǼ׻ùÉϵÄH·¢ÉúÏûÈ¥·´Ó¦£¬¼´FÄÜ·¢ÉúÏûÈ¥·´Ó¦Éú³ÉÁ½ÖÖ²»Í¬Ï©Ìþ£¬¹ÊdÕýÈ·£» ¹Ê´ð°¸Îª£ºcd£» £¨3£©EÓëÐÂÖÆCu£¨OH£©2µÄ»¯Ñ§·½³ÌʽΪΪ

+NaOH+2Cu£¨OH£©2¼ÓÈÈ
±¾Ìâ½âÎö£º
±¾ÌâÄѶȣºÒ»°ã
|