时间:2017-07-10 19:30:33
1、填空题 A、B、C、D均为含苯环的化合物,且式量B>A>C,已知有机物A的结构简式为
?
(1)A既能与NaOH溶液反应,又能与NaHCO3溶液反应,写出A和NaHCO3溶液反应的化学方程式
_____________________。
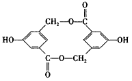
(2)有机物B在浓H2SO4存在下,相互作用生成一种环状酯,如图则有机物B的结构简式为
_____________,等物质的量B与Na、NaOH、NaHCO3充分反应,消耗Na、NaOH、NaHCO3的物质的量之比为_____________。 
(3)1mol A、C完全燃烧,消耗O2的质量相等,且1mol C能和1mol Na完全反应,写出含碳原子数最少的C的结构简式_____________。
(4)D和B互为同分异构体,且苯环上的一氯代物只有两种,D不与NaHCO3反应,能与Na、NaOH反应,等质量的D消耗Na、NaOH的物质的量之比为2:3,则D的结构简式为:_____________或_____________。
参考答案:(1)
(2)
;3:2:1
(3)
(4)
;
本题解析:
本题难度:一般
2、选择题 举办“人文奥运”的一个重要体现就是禁止运动员服用兴奋剂。有一种兴奋剂的结构简式如下图,下列有关该物质的说法正确的是( ? )

参考答案:B
本题解析:
本题难度:一般
5、选择题 下列说法正确的是( )
A.能发生银镜反应的有机物都属于醛类
B.苯酚沾在皮肤上应立即用浓NaOH溶液冲洗
C.烃基跟羟基直接相连的有机物都属于醇类
D.皂化反应在碱性条件下进行
参考答案:D
本题解析:
本题难度:一般