时间:2017-03-10 17:20:53
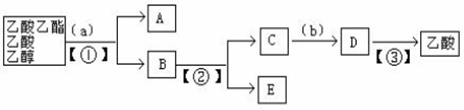
选择题 以下是分离乙酸乙酯 91ExAM.org、乙酸、乙醇的混合物的流程图,图中圆括号内是适当的试剂,方括号内是适当的分离方法,方框内是有关物质的名称。下列说法正确的是(? )
A.a为NaOH溶液,b是盐酸
B.①、②、③均为蒸馏
C.A是乙酸乙酯,①为分液
D.b是硫酸,②为分液
选择题 以下是分离乙酸乙酯、乙酸、乙醇的混合物的流程图,图中圆括号内是适当的试剂,方括号内是适当的分离方法,方框内是有关物质的名称。下列说法正确的是(? )
A.a为NaOH溶液,b是盐酸
B.①、②、③均为蒸馏
C.A是乙酸乙酯,①为分液
D.b是硫酸,②为分液
本题答案:C
本题解析:A不正确,a应该是饱和碳酸钠溶液,因为氢氧化钠和乙酸乙酯也反应。B不正确,①是分液,②③是蒸馏。D不正确,所以正确的答案选C。
本题所 属考点:【物质的分离、提纯】
本题难易程度:【简单】