时间:2017-03-05 15:39:47
1、选择题 下列说法正确的是
[? ]
参考答案:D
本题解析:
本题难度:简单
2、填空题 (1)常温下,如果取0.1 mol·L-1 HA溶液与0.1 mol·L-1 NaOH溶液等体积混合,测得混合液的pH=8。混合液中由水电离出的OH-浓度与0.1 mol·L-1 NaOH溶液中由水电离出的OH-浓度之比为?。
(2)相同温度下,将足量硫酸钡固体分别放入相同体积的①0.1 mol·L-1硫酸铝溶液;②0.1 mol·L-1氯化钡溶液;③蒸馏水;④0.1 mol·L-1硫酸溶液中,Ba2+浓度由大到小的顺序是?(用序号填写)。
(3)常温下,将a mol·L-1的氨水与0.1 mol·L-1的盐酸等体积混合,当溶液中c(N
)=c(Cl-)时,用含a的代数式表示NH3·H2O的电离常数Kb=?。
参考答案:(1)107∶1? (2)②>③>④>①? (3)
本题解析:(1)0.1 mol·L-1 HA溶液与0.1 mol·L-1 NaOH溶液等体积混合,恰好生成NaA,水解促进水的电离,已知pH=8,故由水电离出的c(OH-)=10-6;NaOH抑制水的电离,0.1 mol·L-1 NaOH溶液的c(OH-)="0.1" mol·L-1,故由水电离出的c(OH-)=c(H+)=10-13,两者之比为107∶1。(2)一定温度下,c(S
)·c(Ba2+)为定值,c(S
)越小,c(Ba2+)越大,故c(Ba2+)由大到小的顺序是②>③>④>①。(3)根据溶液电中性,c(H+)+c(N
)=c(OH-)+c(Cl-),已知c(N
)=c(Cl-)=
?mol·L-1,故c(OH-)=c(H+)=10-7 mol·L-1。根据物料守恒,c(NH3·H2O)+c(N
)=
?mol·L-1,故c(NH3·H2O)=
-
?mol·L-1=
?mol·L-1。代入Kb=
=
=
。
本题难度:简单
3、选择题 下列化学实验能达到目的是( )
A.用激光笔检验某KI溶液中是否溶有淀粉
B.加入适量溴水后过滤,可除去苯中的少量苯酚
C.向碘水中加入苯或酒精,均可从碘水中萃取碘
D.向AgCl沉淀中滴加少量KI溶液,可说明Ksp(AgCl)<Ksp?(AgI)
参考答案:A.KI溶液中溶有的淀粉是胶体,胶体有丁达尔现象,用激光笔检验,看到一条光亮的通路,说明含有淀粉,如不能说明没有淀粉,因碘化钾溶液没有丁达尔现象,故A正确;
B.溴易溶于苯,溴水与苯发生萃取,苯酚与溴水发生取代反应生成三溴苯酚,用溴水除杂,生成的三溴苯酚和过量的溴都能溶于苯,不能得到纯净的苯,并引入新的杂质,不能用来除杂,除去苯中的少量苯酚,应向混合物中加入NaOH溶液后分液,故B错误;
C.苯和水不互溶,且碘在苯中的溶解度大于在水中的溶解度,苯和碘不反应,所以苯能作萃取剂萃取碘水中的碘;酒精和水互溶,所以酒精不能作萃取剂,故C错误;
D.在AgCl饱和溶液中加入NaI固体,有AgI沉淀生成,说明AgI难溶,AgCl比AgI的溶度积常数大,故D错误;
故选A.
本题解析:
本题难度:简单
4、选择题 将100mL?0.1mol/L的AgNO3溶液加入足量的NaCl和NaF的混合溶液中,产生1.435g沉淀,则下列说法正确的是( )
A.产生的沉淀为AgCl
B.产生沉淀为AgF
C.产生的沉淀为AgF和AgCl
D.AgF不溶于水
参考答案:因AgCl不溶于水,而AgF易溶于水,则AgNO3溶液加入足量的NaCl和NaF的混合溶液中,只生成AgCl沉淀,且n(AgCl)=1.435g143.5g/mol=0.01mol,说明只生成AgCl沉淀.
故选A.
本题解析:
本题难度:简单
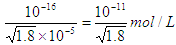
5、选择题 已知Ksp(AgCl )=1.8×10-10,Ksp(AgI)=1.0×10-16。下列关于不溶物之间转化的说法中错误的是(?)
A.AgCl不溶于水,不能转化为AgI
B.两种不溶物的Ksp相差越大,不溶物就越容易转化为更难溶的不溶物
C.AgI比AgCl更难溶于水,所以,AgCl可以转化为AgI
D.常温下,AgCl若要在NaI溶液中开始转化为AgI,则NaI的浓度必不低于
×10-11 mol·L-1
参考答案:A
本题解析:根据溶度积常数可知,只要溶液中c(Ag+)·c(I-)>Ksp(AgI),就会产生碘化银沉淀,所以A是错误的。沉淀往往向生成更难溶的方向转化,所以选项BC都是正确的。要生成碘化银沉淀,则c(Ag+)·c(I-)>Ksp(AgI)。因为在氯化银溶液中,c(Ag+)=
,所以此时c(I-) >
,因此选项D是正确的。答案选A。
本题难度:一般