时间:2017-03-05 14:09:22
1、选择题 琥珀酸二乙酯的键线式结构如图所示。下列关于它的说法不正确的是
A.该物质的化学式为C3H14O4
B.该物质不溶于水
C.琥珀酸是丁二酸
D.琥珀酸二乙酯在NaOH溶液反应,1mol该物质可以得到2mol乙醇和1mol琥珀酸
参考答案:D
本题解析:酯一般不溶于水,其化学式为C3H14O4,分子中有两个酯基,酸性水解产物为乙醇和丁二酸,也就是说琥珀酸即是丁二酸;
但该酯碱性水解时,得到的是乙醇和琥珀酸的钠盐,故答案为D
本题难度:一般
2、选择题 头孢羟氨苄(如图)被人体吸收效果良好,疗效明显,且毒性反应极小,因而被广泛适用于敏感细菌所致的尿路感染、皮肤软组织感染以及急性扁桃体炎、急性咽炎、中耳炎和肺部感染等的治疗。已知肽键可以在碱性条件下水解。下列对头孢羟氨苄的说法中正确的是 
[? ]
A.头孢羟氨苄的化学式为C16H16N3O5S·H2O
B.1mol头孢羟氨苄与NaOH溶液和浓溴水反应时,分别需要消耗NaOH 4mol和Br2 3mol
C.在催化剂存在的条件下,1mol头孢羟氨苄消耗7molH2
D.头孢羟氨苄不能在空气中稳定存在
参考答案:BD
本题解析:
本题难度:简单
3、选择题 心酮胺是治疗冠心病的药物。它具有如下结构简式:
下列关于心酮胺的描述,错误的是
[? ]
A.可以在催化剂作用下和溴反应
B.可以在碱性条件下发生水解反应
C.能够使酸性高锰酸钾溶液褪色
D.可以和浓硫酸与浓硝酸的混合液反应
参考答案:B
本题解析:
本题难度:一般
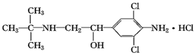
4、选择题 《化学教育》报道了数起因食用有“瘦肉精”的猪肉和内脏,而发生急性中毒的恶性事件。这足以说明,目前由于奸商的违法经营,已使“瘦肉精”变成了“害人精”。“瘦肉精”的结构可表示为
下列关于“瘦肉精”的说法正确的是
[? ]
A.摩尔质量为313.5 g
B.属于芳香烃
C.分子式为C12H19Cl3N2O
D.不能发生氧化、加成反应
参考答案:C
本题解析:
本题难度:一般
5、选择题 在3支试管中分别放有:①1mL乙酸乙酯和3mL水?②1mL溴苯和3mL水?③1mL乙酸和3mL水。图中三支试管从左到右所盛物质的顺序为 
A.?①②③ ?
B. ①③② ?
C.?②①③ ?
D. ②③①
参考答案:D
本题解析:
本题难度:简单