时间:2017-03-05 14:08:43
1、选择题 已知苯和一卤代烷在催化剂的作用下可生成苯的同系物:
?
在催化剂的作用下,由苯和下列各组物质合成乙苯(
),最好应选用的是(?)
A.CH2=CH2和HCl
B.CH2=CH2和Cl2
C.CH3CH3和Cl2
D.CH3CH3和HCl
参考答案:A
本题解析:略
本题难度:简单
2、选择题 右图是一种常见有机物的比例模型,该模型图可代表?一种
A.饱和一元醇
B.饱和一元醛
C.羧酸酯
D.羟基酸
参考答案:D
本题解析:略
本题难度:简单
3、选择题 10g某一元醇A和乙酸在一定条件下,生成某酯17.6g,还回收未反应的醇A 0.8g,则A 为(?)
A 甲醇? B 乙醇? C 苯甲醇? D 1-丁醇
参考答案:
B
本题解析:略
本题难度:简单
4、选择题 下列对有
机物的性质和反应的描述,正确的是
A.淀粉及其水解产物均能发生银镜反应
B.在水溶液里,乙酸分子中的乙基(—C2H5)可以电离出H+
C.在酸性条件下,CH3CO18OC2H5
的水解产物是CH3CO18OH和C2H5OH
D.用甘氨酸(
)和丙氨酸(
)缩合最多可形成4种二肽
参考答案:D
本题解析:略
本题难度:一般
5、填空题 共轭双烯与含有双键的化合物相互作用,能生成六元环状化合物,常用于有机合成,例如:

化合物Ⅱ可发生以下反应:
Ⅱ
Ⅲ(分子式为C4H4O4)
Ⅳ(高分子化合物)
(1)化合物I的分子式为________,1 mol该物质完全燃烧需消耗________mol O2。
(2)反应②的化学方程式为__________________________________________。
(3)反应③是缩聚反应,化合物Ⅳ的结构简式为________。
(4)在一定条件下,化合物Ⅴ和化合物Ⅵ能发生类似反应①的反应,生成两种化合物(互为同分异构体),这两种化合物的结构简式分别为________、________。
(5)下列关于化合物Ⅰ、Ⅱ、Ⅴ、Ⅵ的说法正确的有________(填字母)。
A.Ⅰ属于芳香烃
B.Ⅰ、Ⅱ、Ⅴ均能使溴的四氯化碳溶液褪色
C.Ⅴ与足量H2加成后的产物是3-甲基戊烷
D.加热条件下Ⅵ能与新制Cu(OH)2反应生成红色沉淀
参考答案:(1)C13H20 18

(5)BCD
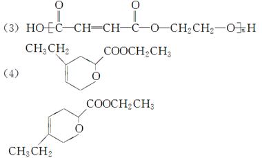
本题解析:(1)化合物Ⅰ中有13个碳原子、4个不饱和度,故其分子式为C13H20。1 mol该物质完全燃烧消耗O2的物质的量为(13+20/4)mol=18 mol。(2)化合物Ⅱ是酯类化合物,反应②是化合物Ⅱ在稀硫酸作用下发生的水解反应,生成羧酸(HOOC—CH=CH—COOH)和醇(CH3OH)。
(3)HOOC—CH=CH—COOH和HOCH2CH2OH发生缩聚反应,生成聚酯
。
(4)考虑到化合物Ⅴ和Ⅵ的结构不对称,所以二者发生反应时,可能生成两种产物。(5)化合物Ⅰ中不含苯环,不属于芳香烃,A错误。Ⅰ、Ⅱ、Ⅴ中均含有碳碳双键,均能使溴的四氯化碳溶液褪色,B正确。根据有机物传统命名法可知化合物Ⅴ与H2发生加成反应后的产物的名称为3-甲基戊烷,C正确。化合物Ⅵ中含有醛基,加热条件下能与新制Cu(OH)2反应生成红色沉淀,D正确。
本题难度:困难