时间:2017-03-05 14:01:50
1、简答题 有机物A的结构简式为?
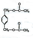
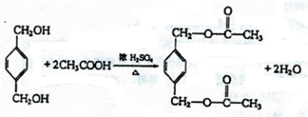
,从A出发,可发生图示中的一系列反应.其中K的分子式为C12H14O4,L和K互为同分异构体,F的产量可作为衡量一个国家石油化工发展水平的标志.(图中[O]表示氧化)
已知甲苯经氧化可生成苯甲酸:
(1)写出结构简式:B______,K______,E______.
(2)写出化学方程式(注明反应条件并配平):C十J→L______.
(3)写出与B互为同分异构体,属于酯类、苯环上只有一个取代基的各有机物的结构简式______.
参考答案:F的产量可作为衡量一个国家石油化工发展水平的标志,所以F是乙烯,乙烯和水发生加成反应生成H,所以H是乙醇,乙醇和酸能发生酯化反应,所以G是酸;
A是酯,酸性条件下A水解生成B和C,B能被氧化生成酸,所以B是
,C是
,
根据B知,G是
,K是
;
乙烯被氧化生成乙醛,所以I是乙醛,乙醛被氧化生成乙酸,所以J是乙酸,乙酸和B反应生成酯L,L是
,加热条件下,A和氢氧化钠溶液发生水解反应生成C和D,D是
,
在加热条件下,
和碱石灰反应生成E,E是
.
(1)通过以上分析知,B、K、E的结构简式分别为:
,
,
,
故答案为:
,
,
;
(2)该反应方程式为:
,
故答案为:
;
(3)与B互为同分异构体,属于酯类、苯环上只有一个取代基的各有机物的结构简式为:
,
故答案为:
.
本题解析:
本题难度:一般
2、填空题 在一定条件下,烯烃可发生臭氧化还原水解反应,生成羰基化合物,该反应可表示为
已知:
①化合物A,其分子式为C9H10O,它既能使溴的四氯化碳溶液褪色,又能与FeCl3溶液发生显色反应,且能与金属钠或NaOH溶液反应生成B;
②B发生臭氧化还原水解反应生成C,C能发生银镜反应;
③C催化加氢生成D,D在浓硫酸存在下加热生成E;
④E既能使溴的四氯化碳溶液褪色,又能与FeCl3溶液发生显色反应,且能与NaOH溶液反应生成F;
⑤F发生臭氧化还原水解反应生成G,G能发生银镜反应,遇酸转化为H(C7H6O2)。
请根据上述信息,完成下列填空:
(1)写出下列化合物的结构简式(如有多组化合物符合题意,只要写出其中的一组)
A______________,C_____________,E________________.
(2)写出分子式为C7H6O2的含有苯环的所有同分异构体的结构简式:
______________________________________
参考答案:(1)A:
;B:
;C:
(2)
、
、
、
、
本题解析:
本题难度:一般
3、填空题 (9分)根据下列的有机物合成路线回答问题:
(1)写出A、B的结构简式:
A ?、B ?。
(2)写出各步反应类型:
①?、②?、③?。
(3)写出②、③的反应方程式:
②?,
③?。
参考答案:1)
A?环己烯?、B?环己二烯?。
(2)写出各步反应类型:
①加成反应?、②?消去反应?、③?加成反应?。
(3)写出②、③的反应方程式:
②?③?
本题解析:(1)根据反应的过程可知A、B均为烯烃,A的结构为
,B的结构为
(2)①的过程中苯环变为了饱和的六元环,所以是苯环与氢气的加成反应,②是氯代烃变为了烯烃是氯代烃的消去反应,③是环己二烯与氯气的加成反应。
(3)②的反应方程式为:
③的反应方程式为:
本题难度:一般
4、推断题 已知连接羟基的碳原子上没有氢原子的醇不能发生催化氧化反应。A是一种重要的化工原料,其分子组成为C4H9Cl,A有如下转化关系(部分反应条件已略去):
其中F不能发生催化氧化反应,E和G都能和新制Cu(OH)2反应,但反应条件及实验现象均不相同,H是一种有果香味的液体。
(1)A的同分异构体有?种,符合上述条件的A结构简式为?。
(2)与①、⑦反应类型相同的是_______(填序号),若A中混有C,则对生成的B的纯度是否有影响___? ___(填“有”或“无”)。
(3)写出下列反应的化学方程式:A→B:__________________________;E与新制Cu(OH)2反应:_______________________________________________;
参考答案:(18分)(1)4?
?
(2)⑤?无?
(3)
(CH3)2CHCHO+2Cu(OH)2
(CH3)2CHCOOH+Cu2O↓+2H2O
本题解析:(1)C4H9Cl相对于是丁烷中氢原子被氯原子所代替后的产物,由于丁烷有正丁烷和异丁烷两种,且每种都含有2类氢原子,所以C4H9Cl就要4种同分异构体;根据反应①③④的反应条件可判断,①是卤代烃的水解反应,则D是醇,醇氧化得到醛,即E是醛,醛继续被氧化得到羧酸,所以G是羧酸。根据反应②的条件可知,该反应是卤代烃的消去反应,生成丁烯,即B是丁烯。丁烯和氯化氢发生加成反应得到C,C在氢氧化钠溶液中又发生水解反应生成醇F。由于F不能发生催化氧化反应,所以F的结构简式只能是(CH3)3COH。则C的结构简式就是(CH3)3CCl,所以B的结构简式就是(CH3)2C=CH2,因此A的结构简式就是(CH3)2CHCH2Cl。所以D的结构简式就是(CH3)2CHCH2OH,E和G分别是(CH3)2CHCHO,(CH3)2CHCOOH。G和F通过酯化反应生成H,所以H的结构简式就是(CH3)2CHCOOCH2CH(CH3)2。
(2)与①、⑦反应类型相同的是⑤,都是取代反应;由于A和C的消去反应生成的都是(CH3)2C=CH2,所以是无影响的。
(3)A生成B的反应是消去反应,方程式是
;E与新制Cu(OH)2反应属于醛基的氧化反应,则反应的方程式是(CH3)2CHCHO+2Cu(OH)2
(CH3)2CHCOOH+Cu2O↓+2H2O。
点评:化学推断题是一类综合性较强的试题,如元素及化合物性质和社会生活,环境保护,化学计算等知识,还可引入学科间综合。它不仅可考察学生对化学知识的理解程度,更重要的是培养学生的综合分析能力和思维方法。解框图题的方法:最关键的是寻找“突破口”,“突破口”就是抓“特”字,例如特殊颜色、特殊状态、特殊气味、特殊反应、特殊现象、特殊制法、特殊用途等。
本题难度:一般
5、选择题 A、B、C、D都是含碳、氢、氧的单官能团化合物,A水解得B和C,B氧化可以得到C或D,D氧化也得到C.若M(X)表示X的摩尔质量,则下式中正确的显( )
A.M(A)=M(B)+M(C)
B.2M(D)=M(B)+M(C)
C.(B)<M(D)<M(C)
D.M(D)<M(B)<M(C)
参考答案:D
本题解析:
本题难度:一般