时间:2017-03-05 13:25:00
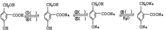
1、填空题 (1)为实现以下各步的转化,请在括号中填入适当的试剂
①??②??③??④??⑤?
(2)分子式为C4H10O的有机化合物,能在催化剂作用下连续氧化生成羧酸,请写出它可能的结构简式为_____________ 、_____________ 。当C与4个不同的原子或基团相连时该碳原子称作“手性”碳原子。则分子式为C4H10O的有机化合物中,含有“手性”碳原子的结构简式为________________。该有机物的系统命名为:?
2、选择题 有机物①CH2OH(CHOH)4CHO;②CH3CH2CH2OH;③CH2=CH-CH2OH;④CH2=CH-COOCH3;⑤CH2=CH-COOH中,既能发生加成、酯化反应,又能发生氧化反应的是
[? ]
A.③⑤?
B.①③⑤ ?
C.②④?
D.①③
3、选择题 下列说法不正确的是
A.甘氨酸和丙氨酸缩合最多可以形成四种二肽
B.液态油酸甘油酯加氢转化为固态硬脂酸甘油酯
C.用75%的乙醇消毒,是使细菌、病毒蛋白质盐析而死亡
D.等物质的量苯酚和甲醛在碱的催化下加热反应形成网状酚醛树脂可作绝缘材料
4、选择题 酯化反应属于 (? )
A.中和反应
B.不可逆反应
C.离子反应
D.取代反应
5、选择题 2014年我国纪念“世界水日”活动的宣传主题为“加强河湖管理,建设水生态文明”。下列与水相关的叙述正确的是
A.加聚反应也可能有水生成
B.水是氧化物过氧化氢不是氧化物
C.水可以参与有些有机反应,有些有机反应也有水生成
D.水、乙醇、氢氧化钠中都存在羟基