时间:2017-03-03 01:03:47
1、选择题 下列关于官能团的判断中说法错误的是
[? ]
A.醇的官能团是羟基(-OH)
B.羧酸的官能团是羟基(-OH)
C.酚的官能团是羟基(-OH)
D.烯烃的官能团是碳碳双键
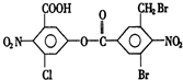
2、选择题 已知苯环上由于取代基的影响,使硝基邻位上的卤原子的反应活性增强,现有某有机物的结构简式如图.1mol该有机物与足量的氢氧化钠溶液混合并共热,充分反应后最多可消耗氢氧化钠的物质的量为( )
A.5mol
B.6mol
C.7mol
D.8mol
3、选择题 下列各原子或原子团,不属于官能团的是( )
A.-CH3
B.-Br
C.-NO2
D.>C=C<
4、选择题 对复杂有机物的结构,可用键线式简化表示.如有机物CH2CHCHO可以简写成[
则与键线式
互为同分异构体的是( )
A.
B.
C.
D.
5、选择题 2013年4月浙江、上海等地出现H7N9禽流感病例,H7N9属于甲型流感病毒亚型.4月5日,抗流感新药帕拉米韦氯化钠注射液已获得加速审批通过.帕拉米韦是一种新型的抗流感病毒药物,属神经氨酸酶抑制剂,现有临床试验数据证明其对甲型和乙型流感有效.帕拉米韦的分子结构如图所示.下列有关说法不正确的是( )
A.该物质的分子式为C15H28N4O4
B.该物质既能与酸反应,又能与碱反应
C.该物质既能发生加成反应,又能发生取代反应
D.该物质最多可以与3?molNaOH反应