时间:2017-03-02 23:03:28
1、填空题 仔细体会下列有机合成过程中碳骨架的构建及官能团的引入和转化,完成下题:
已知两个醛分子在NaOH溶液作用下可以发生加成反应,生成一种羟基醛:
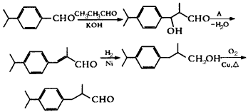
肉桂醛F(分子式为C9H8O)在自然界存在于桂油中,是一种常用的植物调味油,工业上主要是按如下路线合成的:
已知:反应⑤为羟醛缩合反应.请回答:
(1)肉桂醛F的结构简式为:______.E中含氧官能团的名称为______.
(2)反应①~⑥中符合原子经济性的是______.
(3)写出下列转化的化学方程式:②______,③______.
写出有关反应的类型:②______⑥______.
(4)符合下列要求的E物质的同分异构体有______种(苯环上有两个取代基,其中有一个甲基在对位且属于酯类).
参考答案:通过反应的条件和信息可知:A为C2H5OH,B为CH3CHO,C为
,D为
,E为
,F为
,
(1)由以上分析可知F为
,E为
,含有羟基、醛基官能团,
故答案为:
;羟基、醛基;
(2)符合原子经济性的反应为加成反应,题中①为加成反应,②为氧化反应,③为取代反应,④为氧化反应,⑤为加成反应,⑥为消去反应,则符合原子经济性的是①⑤,故答案为:①⑤;
(3)反应②为C2H5OH的催化氧化反应,反应的方程式为2C2H5OH+O2Cu
本题解析:
本题难度:一般
2、填空题 (8分)[化学—有机化学基础]
乙基香草醛(
)是食品添加剂的增香原料,其香味比香草醛更加浓郁。
(1)写出乙基香草醛分子中两种含氧官能团的名称?。
(2)乙基香草醛的同分异构体A是一种有机酸,A可发生以下变化:
提示:①RCH2OH
RCHO
②与苯环直接相连的碳原子上有氢时,此碳原子才可被酸性KMnO4溶液氧化为羧基
(a)由A→C的反应属于?(填反应类型)
(b)写出A的结构简式?。
(3)乙基香草醛的另一种同分异构体D(CH3O-
-COOCH3)是一种医药中间体,请设计合理方案用茴香醛(CH3O-
-CHO)合成D(其他原料自选,用反应流程图表示,并注明必要的反应条件)。
例如:



-Br
参考答案:(1)醛基? (酚)羟基?醚键
(2)(a)取代反应?(b)
(3)CH3O-
-CHO
CH3O-
-COOH
CH3O-
-COOCH3
本题解析:略
本题难度:简单
3、填空题 巨豆三烯酮(F)是一种重要的香料,其合成路线如下
(1)化合物C含有的官能团的名称为________。
(2)化合物F的结构简式是____________。
(3)在上述转化过程中,步骤②的目的是_________,写出步骤②的化学方程式____________________。
(4)写出符合下列条件的D的一种同分异构体的结构简式________________
a.属于芳香族化合物; b.核磁共振氢谱显示,分子中有4种化学环境不同的氢原子;
c.1mol该物质最多可消耗2 mol NaOH; d.能发生银镜反应。
(5)兔耳草醛(
) 和丙醛为原料合成兔耳草醛(用合成路线流程图表示,并注明反应条件)。
提示:①
②合成过程中无机试剂任选;
③合成路线流程图示例如下:
_______________________________
参考答案:(1)碳碳双键、酯基
(2)
(3)保护羟基,使之不被氧化;
(4)
(或
)
(5)
本题解析:
本题难度:一般
4、推断题 某有机物A(C4H6O5)广泛存在许多水果内,尤以苹果、葡萄、西瓜、山楂内为多。该化合物具有如下性质:
①在25℃时,电离常数K1=3.99×10-4,K2=5.5×10-6
②A+RCOOH(或ROH)
有香味的产物
③1molA
慢慢产生1.5mol气体
④A在一定温度下的脱水产物(不是环状化合物)可和溴水发生加成反应
试回答:
(1)根据以上信息,对A的结构可作出的判断是__________(多选扣分)
(a)肯定有碳碳双键 (b)有两个羧基 (c)肯定有羟基 (d)有-COOR官能团
(2)有机物A的结构间式(不含-CH3)为________________
(3)A在一定温度下的脱水产物和溴水反应的化学方程式:__________
(4)A的一个同类别的同分异构体是__________
参考答案:(1)bc (2)
(或
)
(3)
(或
)
(4)
本题解析:
本题难度:一般
5、推断题 烯烃中碳碳双键是重要的官能团,在不同条件下能发生多种变化。已知
①烯烃在催化剂作用下的复分解反应就是两种烯烃交换双键两端的基团,生成两种新烯烃的反应。
②烯烃与酸性高锰酸钾溶液反应的氧化产物有如下的对应关系
上述转化关系图中的物质:A和B都属于烃类,F是安息香酸,其蒸气密度是同温同压下H2密度的61倍,将0.61g F完全燃烧,产物通入足量的澄清石灰水中,产生3.5g沉淀。根据以上信息回答下列问题:
(1)B的产量可以用来衡量一个国家石油化工发展的水平,B的名称是____________。
(2)E的固体可用于人工降雨,E的电子式是____________。
(3)H→I的反应类型是____________。
(4)L在一定条件下也可以生成一种高分子化合物W。W可以作为手术的缝合线,其优点之一就是免拆线可被人体吸收。用W制成的塑料饭盒可降解,是环境友好材料。写出由L制W的化学方程式:________________________。
(5)A的结构简式为:____________(任写一个)。
(6)K物质的核磁共振氢谱图上有____个吸收峰。
(7)若将NaOH溶于I后再与H混合加热,反应生成的有机产物最多有_______种,写出住意两种物质的结构简式(同一个碳原子上连有两个碳碳双键的结构不稳定,可不考虑)____________、____________。
参考答案:(1)乙烯
(2)
(3)取代(水解)反应
(4)“略”
(5)
(6)2
(7)5;
;
本题解析:
本题难度:一般