高考化学知识点总结《大气污染与治理》答题技巧(2017年最新版)(八)

时间:2017-02-02 07:18:52

微信搜索关注"91考试网"公众号,领30元,获取事业编教师公务员等考试资料40G

1、填空题  (5分)了解一些用药常识,有利于自我保健。现有下列药物:碳酸镁、青霉素、阿司匹林、氢氧化铝。
(1)其中属于解热镇痛的药物是__________
(2)青霉素的作用是__________
(3)药片常用淀粉作为黏合剂,淀粉水解的最终产物是__________
(4)碳酸镁可治疗胃酸过多的原理是__________(用离子方程式表示)。



2、选择题  化学与能源开发、环境保护、生产生活密切相关。下列说法中正确的是
A.天然气、石油、潮汐、风力为二次能源
B.大量开采地下水,以满足社会对水的需求
C.日常生活中无水乙醇常用于杀菌消毒
D.水华、赤潮等水体污染主要是由含氮、磷的生活污水任意排放造成的



3、选择题  把氢氧化钠溶液和硫酸铜溶液加入某病人的尿液中,微热时如果观察到有红色沉淀,说明尿液中含有?



4、选择题  化学与生活息息相关。下列叙述正确的是

A.鲜榨橙汁遇到碘水会变蓝
B.馒头越嚼越甜

C.油脂经水解可变成葡萄糖
D.土豆中的淀粉经水解可变成酒



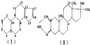
5、填空题  运动员使用兴奋剂是奥林匹克运动的灾难。合成类固醇是奥运会医学委员会
于1984年公布的违禁药物之一。从结构上看,类固醇是一类含有环戊烷多氢菲核(如I式)基本结构的化合物。这类药物之一的-烷基化睾酮衍生物如康力龙(其结构简式如II式),由于其分子中-碳上烷基的作用,此种药物具有对肝功能明显的损害作用,甚至有引起肝癌的毒副作用,因此属违禁药物。

(1)康力龙分子中共有????????个碳原子。
(2)用I式中给碳位编号的方法给II式碳原子定位,其中位的编号是?????????
(3)已知I式能使溴水褪色,则其可能产物的结构简式为(未参加反应部位的碳环略去不写,但反应部位的碳环上碳位编号至少要标上两处)??????????????




首页 上页 7 8 9 下页 尾页 8/10/10
微信搜索关注"91考试网"公众号,领30元,获取公务员事业编教师考试资料40G
【省市县地区导航】【考试题库导航】
 ★ 高考省级导航 ★ 
全国 A安徽 B北京 C重庆 F福建 G广东 广西 甘肃 贵州 H河南 河北 湖南 湖北 黑龙江 海南 J江苏 江西 吉林 L辽宁 N内蒙古 宁夏 Q青海 S山东 山西 陕西 四川 上海 T天津 X新疆 西藏 Y云南 Z浙江
 ★ 高考信息汇总 ★ 
 ★ 高考历年真题 ★ 
 ★ 高考历年真题 ★ 
 ★ 高考题库 ★ 
 ★ 高考题库 ★ 

电脑版  |  手机版  |  返回顶部