时间:2017-02-02 05:03:40
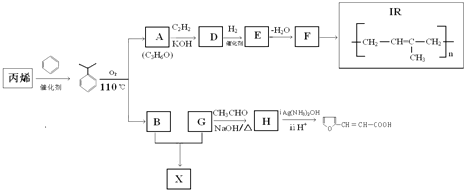
1、推断题 我国北方曾持续干旱,为此农业家建议尽快发展高能抗旱保水剂。保水剂是一种强吸水树脂,能在短时间内吸收自身重量几百倍至上千倍的水分。聚丙烯酸钠就是一种高吸水性树脂。下面是丙烯合成聚丙烯酸钠的化工流程: 
请回答下列问题:
(1)上述反应中属于加成反应的有______,反应⑧的反应类型为___________;
(2)写出A的结构简式:______________,D中的官能团有_________;
(3)F是D的同系物,相对分子质量比D大14,写出2种符合下列要求的F的同分异构体(不考虑顺反异构):____________、______________;
①链状分子
②与新制氢氧化铜在加热条件下反应生成红色沉淀
③与NaOH溶液混合后滴入酚酞,加热,溶液颜色变浅
(4)写出下列反应的化学方程式:④______________________;⑤____________________。
2、简答题 乳酸分子式为C3H6O3,在一定的条件下可发生许多化学反应,图是采用化学方法对乳酸进行加工处理的过程,其中A、H、G为链状高分子化合物.(已知-OH,-COOH等为亲水基团,F的结构简式为:HO-CH2CH2-OH,常用做内燃机的抗冻剂)请回答相关问题:
(1)推断C、D的结构简式.C:______;D:______.
(2)B中所含的官能团的名称是______;
(3)反应③的反应类型是______.反应⑧的反应类型是______.
(4)反应①的化学方程式为______.反应⑤的化学方程式为______.
(5)C的同分异构体有多种,其中属于酯类的有______种.(不包括其本身)
(6)作为隐形眼镜的制作材料,对其性能的要求除应具有良好的光学性能外,还应具有良好的透气性和亲水性.一般采用E的聚合物G而不是D的聚合物H来制作隐形眼镜,其主要理由是:______.
3、推断题 乙酰水杨酸(俗称阿司匹林)是一种常见的解热、消炎、镇痛药物.以苯为主要原料,通过下图所示途径可以制取阿司匹林和冬青油
请按要求回答:
(1)请写出有机物的结构简式: A________;B________;C________.
(2)写出变化过程中①、⑥的化学方程式(注明反应?条件)
反应①_____________________________;
反应⑥_____________________________.
(3)变化过程中的②属于____________反应,⑦属于______________反应.
(4)物质的量相等的冬青油和阿司匹林完全燃烧时消耗氧气的量,冬青油比阿司匹林_______________________________.
(5)怎样从化学平衡移动的观点理解用乙酸酐代替乙酸可以提高阿司匹林产率?__________________________________________. 请写出当用乙酸酐作原料时,合成阿司匹林的化学方程式_______________________.
(6)返潮的阿司匹林片为什么不能服用?__________________________________.
4、简答题 乙酸乙酯是重要的化工原料,生产乙酸乙酯的途径也很多.已知乙醛(CH3CHO)在一定条件下可被氧化成乙酸,也可以被还原成乙醇.现有淀粉、水、空气、乙烯等原料,如果分别用上述两种不同的有机原料开始合成乙酸乙酯,请绘制出有关的合成路线图,并在图中标明原料和各步转化产物(有机产物)的名称(无须写反应方程式).
示例:
合成路线一:______
合成路线二:______.
5、选择题 下列描述正确的是? (??? )
A.除去乙烷中的乙烯:利用发生氧化反应将混合气通过酸性高锰酸钾溶液
B.甲烷与氯气在光照条件下发生取代反应,最多可生成四种产物
C.乙醇与乙酸混合加热即能发生酯化反应生成有香味的酯
D.
过程中反应①、②分别是取代反应、加成反应