高中化学知识点总结《同分异构体的书写与判断》试题强化练习(2017年最新版)(六)

时间:2017-01-24 20:47:18

微信搜索关注"91考试网"公众号,领30元,获取事业编教师公务员等考试资料40G

1、选择题  含有一个三键的炔烃,氢化后的产物结构简式为:,此炔烃可能的结构简式有(  )
A.1种
B.2种
C.3种
D.4种



2、选择题  有机物,有多种异构体,其中属于酯且含有苯环结构的共有 [???? ]
A.3种    
B.4种
C.5种  
D.6种



3、选择题  分子式为C5H11Cl的同分异构体共有(不考虑立体异构) [???? ]
A.6种????
B.7种????
C.8种????
D.9种



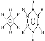
4、选择题  已知化合物B3N3H6(硼氮苯)与C6H6(苯)的分子结构相似,如下图则硼氮苯的二氯取代物 B3N3H4Cl2的同分异构体的数目为
[???? ]
A.2
B.3
C.4
D.6



5、选择题  下列说法正确的是? [???? ]
A.除去苯中的少量苯酚,可加入过量的饱和溴水后过滤
B.蛋白质水解的最终产物既能和强酸反应,又能和强碱反应
C.葡萄糖、蔗糖都能与新制氢氧化铜浊液发生反应
D.纤维素属于高分子化合物,与淀粉互为同分异构体




首页 上页 5 6 7 下页 尾页 6/10/10
微信搜索关注"91考试网"公众号,领30元,获取公务员事业编教师考试资料40G
【省市县地区导航】【考试题库导航】
 ★ 高考省级导航 ★ 
全国 A安徽 B北京 C重庆 F福建 G广东 广西 甘肃 贵州 H河南 河北 湖南 湖北 黑龙江 海南 J江苏 江西 吉林 L辽宁 N内蒙古 宁夏 Q青海 S山东 山西 陕西 四川 上海 T天津 X新疆 西藏 Y云南 Z浙江
 ★ 高考信息汇总 ★ 
 ★ 高考历年真题 ★ 
 ★ 高考历年真题 ★ 
 ★ 高考题库 ★ 
 ★ 高考题库 ★ 

电脑版  |  手机版  |  返回顶部