高中化学必备知识点《溶液的性质及计算》高频试题巩固(2017年最新版)(三)

时间:2017-01-19 11:56:15

微信搜索关注"91考试网"公众号,领30元,获取事业编教师公务员等考试资料40G

1、选择题  向pH=6的蒸馏水中加入一定量的稀H2SO4,保持温度不变,测得溶液的pH=2.下列关于该溶液的叙述错误的是

A.该温度高于25℃
B.由水电离出来的c(H+)=1×10-10 mol/L
C.c(H+)=c(OH-)+2(SO42-)
D.该温度下,向该溶液中加入等体积的pH=12的NaOH溶液,反应后溶液呈中性


参考答案:D


本题解析:


本题难度:困难



2、选择题  在一密闭容器中盛有V升Cl2和H2的混合气,在适宜条件下充分反应后再恢复到原状况时,气体体积仍为V升,将这些气体通过NaOH溶液时全部吸收,由此判断原混合气体中Cl2和H2的体积比可能是

A.等于1∶1
B.小于1∶1
C.大于1∶1
D.大于或等于1∶1


参考答案:D


本题解析:


本题难度:困难



3、选择题  下列氯化物,不能通过单质之间反应直接制取的是

A.FeCl2
B.FeCl3
C.Cu2S
D.CuCl2


参考答案:A


本题解析:铁与氯气反应生成FeCl3,不能生成FeCl2.


本题难度:一般



4、选择题  下面关于硅的叙述中不正确的是

A.硅是构成矿物和岩石的主要元素,硅在地壳中的含量在所有元素中居第一位
B.硅可以用来制造变压器的铁芯片材料
C.硅的化学性质不活泼,但在自然界中没有游离态存在
D.利用高纯硅制成光电池,将光能直接转化成电能


参考答案:A


本题解析:硅在地壳中的含量在所有元素中居第二位,排名前四位的元素分别是O、Si、Al、Fe.


本题难度:困难



5、选择题  强酸溶液A与强碱溶液B,在常温下其pH之和为15,当它们按一定体积比混合时,溶液的pH恰好为7,则A与B的体积比为

A.1 : 1
B.2 : 1
C.1 : 10
D.10 : 1


参考答案:D


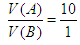
本题解析:考查pH的计算。设A的pH分别为a,则B的为15-a,。所以A和B的浓度分别为10-amol/L和101-amol/L。反应后溶液的pH等于7,说明二者恰好反应,所以有
,解得。答案是D。


本题难度:困难




首页 上页 2 3 4 下页 尾页 3/10/10
微信搜索关注"91考试网"公众号,领30元,获取公务员事业编教师考试资料40G
【省市县地区导航】【考试题库导航】
 ★ 高考省级导航 ★ 
全国 A安徽 B北京 C重庆 F福建 G广东 广西 甘肃 贵州 H河南 河北 湖南 湖北 黑龙江 海南 J江苏 江西 吉林 L辽宁 N内蒙古 宁夏 Q青海 S山东 山西 陕西 四川 上海 T天津 X新疆 西藏 Y云南 Z浙江
 ★ 高考信息汇总 ★ 
 ★ 高考历年真题 ★ 
 ★ 高考历年真题 ★ 
 ★ 高考题库 ★ 
 ★ 高考题库 ★ 

电脑版  |  手机版  |  返回顶部