时间:2017-01-19 10:22:14
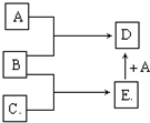
1、简答题 已知A、B、C均为常见的单质,其中A为金属,B、C为非金属,在一定条件下相互转化关系如图所示(反应条件和部分产物已省略)
请回答:
(1)若常温下B、C均为气体,D为黑色晶体,E的电子式为______,A和E在一定条件下反应生成D的化学方程式为______.
(2)若常温下B为气体,C为黑色固体,则构成金属A的原子结构示意图为______,E的结构式为______,A和E在一定条件下反应生成D的化学方程式为______.
参考答案:(1)B、C为气态非金属,范围很小,其中能与A(金属)反应生
本题解析:
本题难度:一般
2、填空题 孔雀石主要含Cu2(OH)2CO3,还含少量Fe、Si的化合物,实验室以孔雀石为原料制备CuSO4?5H2O及CaCO3,步骤如下:
试回答下列问题:
(1)在未加入H2O2的溶液A中,存在的金属离子有Cu2+、Fe2+、Fe3+.若检验该溶液中Fe3+,选择最合适的试剂是______(填代号).
A.KMnO4溶液 B.Fe粉????????C.?Na2CO3溶液???????D.KSCN溶液
向溶液A中加入H2O2,H2O2在该反应中作氧化剂.实验室选用H2O2而不用Cl2作氧化剂.除考虑环保因素外,另一原因是不引入杂质______离子.
(2)由溶液C获得CuSO4?5H2O,需要经过加热浓缩,______,过滤等操作.除烧杯、漏斗外,过滤操作还需用到另一玻璃仪器,该仪器在此操作中的主要作用是______.
(3)制备CaCO3时,发生反应的化学方程式是______;若实验过程中有氨气逸出,可选用下列装置中的______(填代号)装置吸收氨气.
(4)欲测定溶液A中Fe2+的浓度,需配制100mL?0.1mol∕LKMnO4标准溶液.配制该溶液时:除烧杯、玻璃棒、胶头滴管外,还需的一种玻璃仪器是______;当往该玻璃仪器中加蒸馏水至接近刻度线1-2cm时,应改用______滴加蒸馏水至溶液的凹液面正好与刻度线相平.
参考答案:(1)若检验溶液中Fe3+,使用的试剂是KSCN溶液,溶液变
本题解析:
本题难度:一般
3、填空题 已知A——H有下列转化关系
(1)与A反应的酸的名称:?????????????????????????????????
(2)写出E转变成F的化学方程式:??????????????????????????
(3)写出D与AgNO3溶液反应的化学方程式:?????????????????????????
(4)写出G溶液与A反应的离子方程式?????????????????????
(5)鉴别G溶液常用的试剂是:???????????????????????
参考答案:(1)盐酸(写成HCl不给分)???????(2)4Fe(O
本题解析:白色沉淀E可被氧化为红褪色沉淀F,可知E为Fe(OH)2,F为Fe(OH)3;F与盐酸中和生成G为FeCl3
D溶液与硝酸酸化的硝酸银溶液可得到白色沉淀及焰色反应呈紫色的溶液,则可知D溶液中含有Cl—、K+,故D为KCl
由B+C→Fe(OH)2+KCl可知B、C其中一物质为FeCl2,另一物质为KOH;结合B可与A反应生成G(FeCl3),可判定B为FeCl2,C为KOH,A为铁
铁与盐酸(B溶液)生成FeCl2及氢气
本题难度:一般
4、填空题 (15分)阅读分析材料,据此完成下列要求
短周期元素A、B、C、D、E、F,它们的原子序数依次增大,其中B和C为同一周期;D、E、F为同一周期;A和D、C和F分别为同一主族;C元素原子的最外层电子数是次外层电子数的3倍;D是所在周期原子半径最大的元素(除稀有气体外);E是非金属元素,其单质在电子工业中有重要用处。
⑴A元素与碳元素按质量比1:3可以形成化合物X,将C2、X和23.4gD2C2置于密闭容器中,用电火花引起化学反应,反应结束后,容器内的气压为零(250℃),将残留物溶于水中,无气体产生,则C2与X的物质的量之比为???????。根据其反应方程式分析,若反应中有4mol电子转移,则消耗C2的物质的量为???????mol。
⑵工业上生产单质E的化学方程式为:????????????????????????????;指出E的氧化物在通讯中的一种用途????????????????????????????。
⑶一定条件下,A2气体与B2气体充分反应可生成6.8g空间构型三角锥形的气体,放出18.44kJ热量,则该反应的热化学方程式为为:????????????????????????;A与B按原子个数比1:2可形成相对原子质量为32的化合物,写出该化合物与足量盐酸反应的离子方程式???????????????????????????????。
⑷A2与C2在KOH的浓溶液中可以形成原电池。如果以Pt为电极,在电池的两极分别通入A2和C2,则通入的A2一极的电极反应式为:?????????????????????????????。
⑸在10L的密闭容器中,通入2molFC2和3molC2气体,一定条件下反应后生成FC3气体,当反应达到平衡时,C2的浓度为0.21mol/L,则平衡时FC2的转化率为?????????????。
参考答案:(15分)本题解析:易推出A、B、C、D、E、F分别为:H、N、O、Na、Si、S;X为甲烷,发生反应为:2CH4+O2+6Na2O2=2Na2CO3+8NaOH,故(1)易解决;(3)——(5)略
本题难度:简单
5、选择题 A是一种常见的单质,B、C为中学常见的化合物,A、B、C均含有元素X.它们有如图所示的转化关系(部分产物及反应条件已略去),下列判断正确的是
[???? ]
A.X元素可能为Al
B.X元素可能是金属,也可能是非金属
C.反应①和②互为可逆反应
D.反应①和②一定为氧化还原反应
参考答案:D
本题解析:
本题难度:一般