时间:2017-01-19 10:11:04
1、选择题 下列三种有机物是某些药物中的有效成分.
下列说法正确的是( )
A.三种有机物都能发生水解反应
B.三种有机物苯环上的氢原子若被氯原子取代,其一氯代物都只有2种
C.将等物质的量的三种物质加入氢氧化钠溶液中,对羟基桂皮酸消耗氢氧化钠最多
D.使用FeCl3溶液和稀硫酸可以鉴别这三种有机物
2、简答题 双环戊二烯
是一种化学活性很高的烃,存在于煤焦油中.
(1)写出双环戊二烯的分子式______;
(2)双环戊二烯的各种同分异构体当中,可能含有的官能团有______;
a.碳碳双键;b.碳碳叁键;c.苯环
(3)室温下发生下列反应:
,反应类型为______;
(4)篮烷
是双环戊二烯的同分异构体,假设篮烷分子结构示意图中夹角只有135°、90°两种,它的一氯代物有______?种.
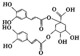
3、选择题 2010年12月1日,国务院总理温家宝来到四川凉山考察艾滋病防治工作.目前,艾滋病尚属国际医学难题,据研究,洋蓟素是一种新结构类型的抗艾滋病病毒的化合物,其结构如图所示,有关洋蓟素的说法正确的是( )
A.1mol该物质与足量钠反应生成3molH2
B.一定条件下能发酯化反应,消去反应,不能生水解发应
C.遇氯化铁生成紫色沉淀
D.1mol洋蓟素最多可与7molNaOH8mol溴水反应
4、选择题 洋蓟素是一种新结构类型的抗乙型肝炎病毒和抗艾滋病病毒的化合物,其结构如图所示,有关洋蓟素的说法正确的是( )
A.1mol洋蓟素最多可与11molH2反应
B.不能与氯化铁溶液发生显色反应
C.一定条件下能发生酯化反应和消去反应
D.1mol洋蓟素最多可与5molNaOH反应
5、选择题 在有机物分子中,若某个碳原子连接4个不同的原子或原子团,则这种碳原子称为“手性碳原子”.凡有一个手性碳原子的物质一定具有光学活性.物质:
具有光学活性,它发生下列反应后生成的有机物没有光学活性的是( )
A.与NaOH溶液共热
B.与甲酸发生酯化反应
C.与银氨溶液发生银镜反应
D.在催化剂存在下与H2作用