无水乙醚
R-MgX(格氏试剂);②

.
阅读以下合成路线图,回答有关问题:

(1)反应①~⑥中,属于加成反应的有______,反应③的条件是______.
(2)反应⑥的化学方程式为______.
(3)以下对上面图中有关物质说法正确的是______
a.所有物质都能与H2发生加成反应?????b.所有物质中只有2种能发生酯化反应
c.I能使溴水褪色、能加聚为高分子????d.A、E、F、H都能与金属钠反应放出H2
(4)F的同分异构体中,含有苯环且能发生银镜反应的有机物共有______种.
 
	参考答案:由题给信息可知A为CH3CHO,B为溴苯,则D为
	
本题解析:
	本题难度:一般
	        2、简答题  [化学一有机化学基础]wwX是一种能与FeCl3溶液作用显紫色的重要有机物.已知:

(1)写出E中官能团的名称______,反应②的反应类型是______.
(2)X的结构简式为______.
(3)写出反应⑤的化学______.
(4)写出满足能与FeCl3溶液发生显色反应且含有的

不含-CH2-C(C9H10O3)的同分异构体的结构简式______(写出两种:一种苯环上有四个取代基,一种苯环上有两个取代基).
 
	参考答案:由B转化生成
![]()
	
本题解析:
	本题难度:一般
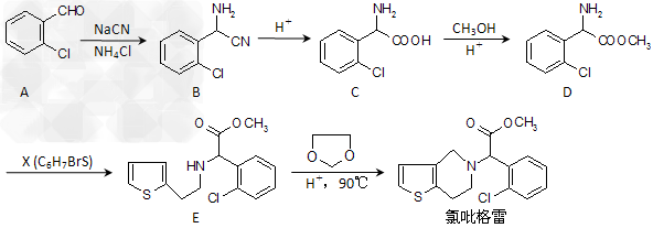
	        3、填空题  近年来,我国部分地区相继发现一些以发热伴血小板减少为主要表现的感染性疾病病例。氯吡格雷(clopidogrel,1)是一种用于抑制血小板聚集的药物,根据原料的不同,该药物的合成路线通常有两条,其中一种合成路线如下

请回答下列问题:
(1)原料A的名称(系统命名法)是______________,D的官能团除了氯原子外还有(填名称)??_______ _________。
(2)有关A、C、D的下列说法正确的是____________
A.C→D的反应属于取代反应 ?????
B.A能与H2发生还原反应,但不能发生氧化反应 ?????
C.A、C、D在一定条件下都能与NaOH溶液反应 ?????
D.D易溶于水和氯仿
(3)X的结构简式为_________________。
(4)?E与 在酸性条件下生成氯吡格雷和另一种常见有机物,该有机物在浓硫酸催化下,加热脱水生成乙炔,试写出该有机物脱水生成乙炔的方程式。
在酸性条件下生成氯吡格雷和另一种常见有机物,该有机物在浓硫酸催化下,加热脱水生成乙炔,试写出该有机物脱水生成乙炔的方程式。
_________________________
(5)写出A属于芳香族化合物的所有同分异构体的结构简式:_________________。 
(6)已知: 在下列方框内写出由乙烯-甲醇为有机原料制备化合物
在下列方框内写出由乙烯-甲醇为有机原料制备化合物 的合成路线流程图(无机试剂任选)。合成路线流程示意图为
的合成路线流程图(无机试剂任选)。合成路线流程示意图为


 
	参考答案:(1)2-氯苯甲醛;氨基、酯基
(2)AC???? (
	本题解析:
	本题难度:一般
	        4、填空题  有机物F是新型降压药替米沙坦的中间体,其结构如下图。

(1)有机物F的分子式为????????。
(2)下列关于有机物F的叙述,不正确的是???。(填标号)
A.能发生水解反应
B.能使酸性高锰酸钾溶液褪色
C.苯环上的一氯取代产物有3种
D.不能发生加成反应
(3)有机物F可由下列路线合成:

①B的结构简式为??????。
②反应①—⑤中,属于取代反应的是?????。(填序号)
③C→D的化学方程式是??????。
④满足下列条件的B的同分异构体共有???????种,其中苯环上的核磁共振氢谱有3种峰的结构简式为????????????????。
i.含有苯环,能发生水解反应?? ii.能与新制Cu(OH)2悬浊液反应
 
	参考答案:(13分)(1)①C13H17O3N(或C13H17NO3)
	本题解析:
试题分析:(1)读图可知,F的分子式为C13H17O3N(或C13H17NO3);(2)A、F含有酯基和肽键,故可以发生水解反应,正确;B、甲苯能使酸性高锰酸钾溶液褪色,故F也能,正确;C、F中苯环上3个氢原子互不相同,故一氯代物有3种,正确;D、苯环在一定条件下能发生加成反应,错误;(3)①由合成路线推断,B为间甲基苯甲酸;②反应①②③④⑤分别为氧化反应、取代反应或硝化反应、取代反应或酯化反应、还原反应、取代反应;③C中的羧基与甲醇在浓H2SO4加热下发生酯化反应,苯环、甲基和硝基均保持不变,生
	本题难度:一般
	        5、填空题  以苯、硫酸、氢氧化钠、亚硫酸钠为原料,经典的合成苯酚的方法可简单表示为: 

(1)写出第②、③、④步反应的化学方程式_______________。
 (2)根据上述反应判断苯磺酸、苯酚、亚硫酸三种物质的酸性强弱,并说明理由_____________。
 
	参考答案:(1)②![]() 本题解析:
本题解析:
	本题难度:一般