高考化学知识点整理《有机合成与推断》考点特训(2017年冲刺版)(九)

时间:2017-01-19 01:15:18

微信搜索关注"91考试网"公众号,领30元,获取事业编教师公务员等考试资料40G

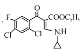
1、填空题  (15分)环丙沙星(G)是一种新型的广谱抗菌药物,其工艺合成路线如下:

(1)反应②的反应类型为____________。物质C中最多可以有________个碳原子共平面。
(2) C转化为D,其实经历了先加成后消去两步反应,写出这两步反应的化学方程式:
(3)给出下列物质的结构简式:
A________________;B________________;F________________。
(4)写出符合下列条件的F的同分异构体的结构简式(任写一种)____________________。
①结构中含有ClF基团?②既有酸性又有碱性
③能与NaHCO3溶液反应?④能使FeCl3溶液显紫色


参考答案:(1)取代反应(1分) 14(2分)
(2)

本题解析:根据G的结构简式可得出F的结构简式为,所以反应⑤属于水解反应。根据E的结构简式可得出D的结构简式为,所以反应④属于


本题难度:一般



2、填空题  按要求写出下列化学方程式:
(1)?甲苯→TNT____________;
(2)?2-溴丙烷→丙烯_____________;
(3)?CaC2→乙炔_____________。


参考答案:“略”


本题解析:


本题难度:一般



3、填空题  (15分)为扩大现有资源的使用效率,在一些油品中加入降凝剂J,以降低其凝固点,从而扩大燃料油品的使用范围。下面是J的合成路线及L的性质图示:

 试回答下列问题:
(1)分别写出反应b和d的反应类型:b______________;d______________。
(2)分别写出E和H结构简式:E__________________;H__________________。
(3)写出化学方程式:F→G______________________;L→Q______________________。
(4)L在一定条件下可以生成一种高分子化合物M,写出此反应的化学方程式:_____________________。
(5)D的同分异构体中,能使Br2的CCl4溶液褪色,并能发生水解反应和银镜反应的有__________种,其中在核磁共振氢谱中出现四组峰,且峰面积之比为2:2:1:1的是__________________(写出结构简式)。


参考答案:(1)消去反应(1分);加聚反应。(1分)
(2)CH


本题解析:略


本题难度:简单



4、推断题  1mol某烃A,充分燃烧可以得到8mol CO2和4mol H2O,烃A 可通过如下图的各个反应得到各种化合物或聚合物。


(1)以上11个反应中,属于消去反应的有_________个(填数字),它们分别是:由C→A,________ (填写“由x→y”)。
(2)写出化合物的结构简式:A___________、 D___________、E___________、 G____________。


参考答案:(1)4? ;由E→A、由E→F、由G→F
(2)


本题解析:


本题难度:一般



5、选择题  工程塑料ABS树脂(结构简式如下),

合成它的单体有①CH3C(CN)=CH2?②CH2="CH-CN?" ③CH≡CH??④CH2=CH-CH=CH2??⑤ CH2=CH-C6H5??⑥CH2=CH-CH=CHC6H5?
A.①③⑥
B.②③⑤
C.②④⑤
D.②③⑥


参考答案:C


本题解析:略


本题难度:一般




首页 上页 8 9 10 下页 尾页 9/10/10
微信搜索关注"91考试网"公众号,领30元,获取公务员事业编教师考试资料40G
【省市县地区导航】【考试题库导航】
 ★ 高考省级导航 ★ 
全国 A安徽 B北京 C重庆 F福建 G广东 广西 甘肃 贵州 H河南 河北 湖南 湖北 黑龙江 海南 J江苏 江西 吉林 L辽宁 N内蒙古 宁夏 Q青海 S山东 山西 陕西 四川 上海 T天津 X新疆 西藏 Y云南 Z浙江
 ★ 高考信息汇总 ★ 
 ★ 高考历年真题 ★ 
 ★ 高考历年真题 ★ 
 ★ 高考题库 ★ 
 ★ 高考题库 ★ 

电脑版  |  手机版  |  返回顶部