高考化学知识点总结《无机综合与推断》试题强化练习(2017年最新版)(十)

时间:2017-01-19 00:01:00

微信搜索关注"91考试网"公众号,领30元,获取事业编教师公务员等考试资料40G

1、填空题  (8分)
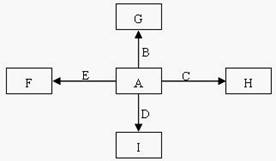
下图中,A、B、C、D、E是单质,G、H、I、F是B、C、D、E分别和A形成的化合物。

已知:
①?反应能放出大量的热,该反应曾应用于铁轨的焊接;
②? I是一种常见的温室气体,它和可以发生反应:2E+I2F+D,F中的E元素的质量分数为60%.
回答问题:
(1)①中反应的化学方程式为____________________________________________;
(2)化合物Ⅰ的电子式为______________________;
(3)C与过量NaOH溶液反应的离子方程式为___________________________;
(4)推测E在I中燃烧可能观察到的现象是__________________________。


参考答案:(8分,每空2分)
本题解析:由已知①可知C为AL,B为Fe;H为AL2O3;I为常见的温室气体,则为CO2气体,根据反应2E+I2F+D,F中的E元素的质量分数为60%.可推导E为Mg,D为C;F为MgO;由于可分别得到G为Fe3O4,B为FE,A为O2,F为MgO;


本题难度:简单



2、填空题  (14分)短周期元素形成的纯净物A、B、C、D、E的转化关系如下图所示,物质A与物质B之间的反应不在溶液中进行(E可能与A、B两种物质中的某种相同)。

请回答下列问题:
(1)若C是离子化合物,D是一种强碱,写出C的一种化学式???
(2)若E的水溶液呈现弱酸性,D是既能溶于强酸、又能溶于强碱的化合物。
①用电离方程式解释D既能溶于强酸,又能溶于强碱的原因?????????????????????
②E与NaOH溶液反应后生成正盐的溶液中所有离子浓度之间大小关系????????????
(3)若C是一种气体,D是一种强酸,则:
①C与水反应的化学方程式为?????????????????????????????
②有人认为“浓H2SO4可以干燥气体C”。某同学为了验证该观点是否正确,用下图装置进行实验。实验过程中,浓H2SO4中未发现有气体逸出,浓硫酸变为红棕色,则你得出的结论是?????????????????

③已知常温下物质A与物质B生成1mol气体C的△H为-57.07kJ·mol-1,1 mol气体C与H2O反应生成D溶液和E气体的△H为-46kJ ·mol-1,写出物质A与物质B及水生成D溶液的热化学方程式??????????????????????????????????????


参考答案:(共14分)(1)Na2O2(或NaH)(2分)
(2


本题解析:略


本题难度:一般



3、实验题  (6分)已知A是灰黑色的硬而脆的固体,B是气态物质,A~E各种物质的相互转化关系如下图所示。

(1)写出B、D、E三种物质的化学式:
?B??????,D???????,E????????
(2)画出A的原子结构示意图??????????
(3)写出C→A的化学方程式???????????


参考答案:
(最后一空2分,其余每空1分,共6分)
(1)


本题解析:略


本题难度:简单



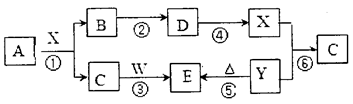
4、填空题  (14分)下图所示物质(部分产物和反应条件未标出)中,只有A是单质,常温下B和 C呈气态,且B是导致酸雨的大气污染物,W是淡黄色固体。

据此回答下列问题:
(1)物质W中所含有的化学键类型为_________,其阴、阳离子个数比为_________。
(2)物质C的结构式为____________。
(3)上图反应中不属于氧化还原反应的有______________(填写序号)。
(4)写出A和X反应的化学方程式_____________;若生成的B在标准状况下的体积为? 22.4L,则反应中转移电子数目为_____________。
(5)请写出C和W反应的化学方程式:_______________。
(6)请写出X和Y反应的离子方程式:_________________。


参考答案:(1)离子键和共价键(1分)?? 1︰2??(1分)


本题解析:B是导致酸雨的大气污染物,W是淡黄色固体,所以B是二氧化硫,W是过氧化钠。C呈气态,且与过氧化钠反应,因此C是二氧化碳,E是碳酸钠。Y分解生成碳酸钠,所以Y是碳酸氢钠。X与碳酸氢钠反应生成二氧化碳,所以X是酸,因此是硫酸,则D是三氧化硫,溶于水即得到硫酸。在加热时碳和浓硫酸反应就生成二氧化碳和二氧化硫。


本题难度:一般



5、填空题  如图中各物质均由短周期元素组成,其中只有D、F、G为单质,A为淡黄色固体,B为常见的无色液体,一定条件下D、G和海水为原料可制成海洋电池.按要求填空:
(1)写出电子式A______;?B______;
(2)写出化学方程式①______;②______;
(3)写出D、G和海水制成海洋电池的负极反应式______.91考试网


参考答案:各物质均由短周期元素组成,A为淡黄色固体,B为常见的无色液体


本题解析:


本题难度:简单




首页 上页 9 10 下页 尾页 10/10/10
微信搜索关注"91考试网"公众号,领30元,获取公务员事业编教师考试资料40G
【省市县地区导航】【考试题库导航】
 ★ 高考省级导航 ★ 
全国 A安徽 B北京 C重庆 F福建 G广东 广西 甘肃 贵州 H河南 河北 湖南 湖北 黑龙江 海南 J江苏 江西 吉林 L辽宁 N内蒙古 宁夏 Q青海 S山东 山西 陕西 四川 上海 T天津 X新疆 西藏 Y云南 Z浙江
 ★ 高考信息汇总 ★ 
 ★ 高考历年真题 ★ 
 ★ 高考历年真题 ★ 
 ★ 高考题库 ★ 
 ★ 高考题库 ★ 

电脑版  |  手机版  |  返回顶部