时间:2017-01-16 16:35:54
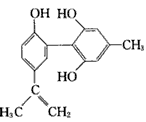
1、选择题 “茶倍健”牙膏中含有茶多酚,期中没食子儿茶素(EGC)的结构如下图所示。关于EGC的下列叙述中正确的是
A.分子式为C15H12O7
B.EGC可在强碱的醇溶液中发生消去反应
C.1molEGC最多消耗6molNaOH
D.1molEGC可与4molBr2发生取代反应
2、计算题 ( 14分 )苯酚是重要的化工原料,通过下列流程可合成阿司匹林、香料和一些高分子化合物。已知: 

( 1 ) 写出C的结构简式 ___________________ 。
( 2 ) 写出反应②的化学方程式 __________________________ 。
( 3 ) 写出G的结构简式 _________________ 。
( 4 ) 写出反应⑧的化学方程式 ___________________________________ 。
( 5 ) 写出反应类型: ④ ______________ , ⑦ _____________________ 。
( 6 ) 下列可检验阿司匹林样品中混有水杨酸的试剂是 __________________________ 。
a. 三氯化铁溶液 ? b. 碳酸氢钠溶液 ?c. 石?蕊试液
3、选择题 有机物分子中原子间(或原子与原子团间)的相互影响会导致物质化学性质的不同。下列事实不能说明上述观点的是 [???? ]
A.苯酚能跟NaOH溶液反应,乙醇不能与NaOH溶液反应
B.乙烯能发生加成反应,乙烷不能发生加成反应
C.甲苯能使酸性高锰酸钾溶液褪色,苯不能使酸性高锰酸钾溶液褪色
D.苯在50℃~60℃时发生硝化反应而甲苯在30℃时即可
4、选择题 丁香油酚是一种有特殊香味的液体,它的结构简式是
。丁香油酚不具有的性质是
[???? ]
5、选择题 2008年北京奥运会取得了圆满的成功,实现了绿色奥运的梦想。 体育竞技中服用兴奋剂既有失公平,也败坏了体育道德。某种 兴奋剂的结构简式如下图所示。有关该物质的说法中正确的是
[???? ]
A.该物质与苯酚属于同系物,遇FeCl3溶液呈紫色
B.滴人酸性KMnO4溶液振荡,紫色褪去,能证明其结构中存在碳碳双键
C.lmol该物质分别与浓溴水和H2反应时最多消耗Br2和H2分别为4mol 和7mol
D.该分子中的所有碳原子不可能共平面