时间:2017-01-15 17:04:46
1、选择题 如图表示4-溴环己烯所发生的4个不同反应.其中,有机产物只含有一种官能团的反应是( )
A.①④
B.③④
C.②③
D.①②
参考答案:由结构可知,有机物中含C=C和-Br,①为氧化反应,得到两种
本题解析:
本题难度:简单
2、选择题 能证明某烃分子里只含有一个碳碳双键的事实是( )
A.该烃分子里碳氢原子个数比为1:2
B.该烃能使酸性KMnO4溶液褪色
C.该烃完全燃烧生成的CO2和H2O的物质的量相等
D.该烃容易与溴水发生加成反应,且1mol该烃完全加成消耗1mol溴单质
参考答案:D
本题解析:
本题难度:简单
3、简答题 某课外活动小组对甲酸(HCOOH)进行了如下的实验,以验证其含有醛基,并考察其化学性质,首先做了银镜反应.
(1)某同学很成功的做了银镜反应,他肯定没有进行的操作______(写字母):
A.用洁净的试管;
B.在浓度为2%的NH3?H2O中滴入稍过量的浓度为2%的硝酸银;
C.用前几天配制好的银氨溶液;
D.在银氨溶液里加入稍过量的甲酸;
E.用小火对试管直接加热;
F.反应过程中,振荡试管使之充分反应.
然后,同学们对甲酸与甲醇进行了酯化反应的研究:
(2)乙装置中长导管A的作用是______.
(3)写出甲酸和甲醇进行酯化反应的化学方程式______
(4)选择甲装置还是乙装置好?______,原因是______.
(5)一同学用装有饱和氢氧化钠的三颈瓶接收甲酸甲酯,几乎没有收集到产物,请给予合理的解释______.
参考答案:(1)银镜反应的条件是在碱性条件下发生的,是在新制的银氨溶液
本题解析:
本题难度:一般
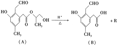
4、选择题 某有机物A在酸性溶液中可发生如下反应生成B:
下列说法中正确的是( )
A.该反应属于消去反应
B.A与烧碱溶液反应最多可中和4?mol?NaOH
C.R的结构简式为CH3CH2CH2OH
D.有机物A和B在镍的催化下,均最多只能与4?mol的H2发生加成反应
参考答案:A.由结构可知,(A)中存在-COOC-,水解生成(B),该
本题解析:
本题难度:一般
5、选择题 从中药麻黄中提取的生物碱--麻黄碱,具有止咳平喘功效,其结构简式为
它可能具有的化学性质为
[???? ]
参考答案:AB
本题解析:
本题难度:简单