时间:2017-01-15 16:40:30
1、选择题 某有机物溶解于NaOH溶液中(滴有酚酞),开始溶液呈红色,煮沸5分钟后,溶液褪色,加入盐酸至酸性时,沉淀出白色的结晶,该结晶溶于水加入FeCl3溶液呈紫色,该有机物可能是
2、选择题 已知酸性大小:羧酸>碳酸>酚。下列含溴化合物中的溴原子,在适当条件下都能被羟基(—OH)取代(均可称为水解反应),所得产物能跟NaHCO3溶液反应的是
?
3、选择题 在实验室中,从苯酚中分离出苯,可选用下列装置中的(?? )
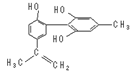
4、选择题 “人文奥运”的一个重要体现是:坚决反对运动员服用兴奋剂。某种兴奋剂的结构简式如右图所示,有关该物质的说法正确的是(?)
A.遇FeCl3溶液显紫色,因为该物质与苯酚属于同系物
B.该物质可以分别发生取代、氧化、消去、加聚、还原反应
C.1 mol该物质浓溴水和H2反应最多消耗Br2和H2分别为4 mol、7 mol
D.1 mol该物质分别与NaOH和Na2CO3反应最多消耗NaOH和Na2CO3分别为3 mol 、1.5mol
5、选择题 皮肤上若沾有少量苯酚,正确的处理方法是
A.用70℃热水洗
B.用酒精洗
C.用稀NaOH溶液洗
D.不必冲洗