时间:2017-01-13 10:48:12
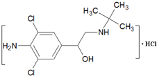
1、选择题 已知瘦肉精(盐酸克伦特罗)的结构简式如图,下列有关说法不正确的是( )
A.处于同一平面上的原子最多有10个
B.瘦肉精属于芳香族化合物
C.瘦肉精一定条件下能发生消去反应
D.瘦肉精的化学式为C12H19Cl3N2O
参考答案:A
本题解析:
本题难度:一般
2、选择题 前不久,各大媒体在显著的位置刊登了关于900t致癌大米的报道,主要是变质大米中存在的黄曲霉素使人体中的特殊基因发生突变,有转变成肝癌的可能性.它的结构如图.和l?mol该化合物起反应的H2或NaOH的最大值分别是( )
A.6mol,2mol
B.7mol,2mol
C.6mol,1mol
D.7mol,1mol
参考答案:A
本题解析:
本题难度:一般
3、填空题 醛类因易被氧化为羧酸而使酸性高锰酸钾或溴水褪色.现已知柠檬醛的结构简式为:
,若要检验其中的碳碳双键,请你设计实验方案______.
参考答案:检验碳碳双键的存在,即是检验烯烃的存在,我们易想到常用方法是
本题解析:
本题难度:一般
4、选择题 酯类物质广泛存在于草莓、香蕉、梨等水果中,某同学从成熟的香蕉中分离出一种酯 ,然后将该酯在酸性条件下进行水解实验,得到分子式为C2H4O2和C4H10O的两种物质.下列有关的分析判断正确的是( )
A.该同学分离出的酯的化学式可表示为C6H14O3
B.水解得到的两种物质,C2H4O2可以与金属钠作用发出氢气,而C4H10O不可以
C.C4H10O的同分异构体有很多种,其中属于醇类只有4种
D.水解得到的物质C2H4O2和葡萄糖的最简式相同,所以二者的化学性质相似
参考答案:C
本题解析:
本题难度:一般
5、填空题 丙烯酸的结构简式是CH2=CH-COOH.
(1)写出该分子所含官能团名称______,______
(2)分子式是______,能发生的反应(举一例)的化学方程式:______.
参考答案:(1)丙烯酸中含有C=C、-COOH,名称分别为碳碳双键、羧
本题解析:
本题难度:简单