高考化学必考知识点《溶液浓度计算》考点预测(2017年最新版)(一)

时间:2017-01-12 20:20:16

微信搜索关注"91考试网"公众号,领30元,获取事业编教师公务员等考试资料40G

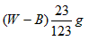
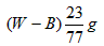
1、选择题  在一定温度下,某无水盐R在水中溶解度为23g,向R的饱和溶液中加入该无水盐,保持温度不变,析出R的结晶水合物Wg,从原饱和溶液中析出溶质R的质量为[???? ]
A.
B.
C.
D.



2、选择题  已知硫酸溶液的密度随浓度增大而增大,若将质量分数分别为20%与50%的硫酸溶液等体积混和,则所得混合溶液的质量分数( ? )

A.35%
B.<35%
C.>35%
D.无法确定



3、选择题  工业上以Ca(OH)2和HNO3为原料制备Ca(NO3)2·4H2O晶体,若制备过程中容器内所有H、O原子均转化为结晶水,则所用硝酸溶液中溶质的质量分数为

A.30%
B.63%
C.78%
D.无法计算



4、选择题  25℃,下列溶液的酸性最强的是(  )

A.0.01mol?L-1HCl
B.pH=2的H2SO4溶液
C.c(OH-)=10-13mol?L-1
D.pH=1溶液加水稀释1倍



5、选择题  能表示人体大量喝水时,胃液的pH变化的图象是(  )
A.
91考试网

B.
91考试网

C.
91考试网

D.
91考试网




首页 上页 1 2 3 下页 尾页 1/10/10
微信搜索关注"91考试网"公众号,领30元,获取公务员事业编教师考试资料40G
【省市县地区导航】【考试题库导航】
 ★ 高考省级导航 ★ 
全国 A安徽 B北京 C重庆 F福建 G广东 广西 甘肃 贵州 H河南 河北 湖南 湖北 黑龙江 海南 J江苏 江西 吉林 L辽宁 N内蒙古 宁夏 Q青海 S山东 山西 陕西 四川 上海 T天津 X新疆 西藏 Y云南 Z浙江
 ★ 高考信息汇总 ★ 
 ★ 高考历年真题 ★ 
 ★ 高考历年真题 ★ 
 ★ 高考题库 ★ 
 ★ 高考题库 ★