时间:2017-01-12 18:51:51
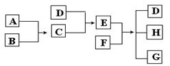
1、填空题 如图所示反应I、反应II和反应III均是工业生产中常见的反应.其中A、B为化合物,C是温室气体之一,D和K均可用做干燥剂,H常温下为液态化合物,J是一种具有漂白作用的盐,反应III和E与G反应的原理相同.
(1)C的电子式是______.
(2)反应II的离子方程式是______.
(3)J久置后,即便不接触水、空气,本身也逐渐分解生成K,并放出气体,该反应的化学方程式是______.
(4)工业上测定反应III产品的有效成分J的含量,先将一定量的产品的溶液加入过量的KI溶液和稀硫酸中,使之反应生成I2,然后用Na2S2O3标准溶液滴定I2,计算出结果.
①用Na2S2O3标准溶液滴定I2时选用的指示剂是______.
②生成I2的反应的离子方程式是______.
(5)已知:2Fe2++Br2=2Fe3++2Br-.若将0.1mol?E通入100mL?FeBr2溶液中,溶液中有三分之一的Br-被氧化成Br2,则此反应离子方程式是______,原FeBr2溶液的物质的量浓度为______.
2、填空题 A、B、C、D、E五种常见化合物,都是由下面中的离子形成的:阳离子:K+、Na+、Al3+、Fe3+?阴离子:HCO3—、SO42—、OH-、 Cl—
为了鉴别上述化合物,分别完成以下实验,其结果是:
① 将它们溶于水后,A为棕黄色溶液,其他均为无色溶液;
② 将它们进行焰色反应,仅有C、E为紫色(透过蓝色钴玻璃);
③ 将B溶液滴人到C溶液中出现白色沉淀,继续滴加,沉淀溶解;
④ 在各溶液中加入硝酸钡溶液,再加过量稀硝酸,只有D中放出无色气体,只有A、C中产生白色沉淀;
⑤ 将A、E两溶液混合,未见沉淀或气体生成。
根据上述实验填空:
(1)写出的化学式:A???____,C????????????。
(2)写出B和D反应的离子方程式?????????????????????????????????????。
(3)进行焰色反应实验操作时,使用铂丝前应该用________洗涤。
(4)在D溶液中加入少量澄清石灰水,其离子方程式为__?????????__
(5)向100mL 1mol/L C溶液中加入0.2 molBa(OH)2溶液,充分反应后得到溶质是???????
3、填空题 (6分)已知A、B、C、D为气体(其中A为黄绿色),E是常见的氮肥,F为固体,G是氯化钙,它们之间的转换关系如下图
⑴ D的结构式是_____________,E的化学式(分子式)是_____________。
⑵ D和O2反应的化学方程式是______________________________。
⑶ E和F反应生成D、H和G的化学方程式是___________________________________。
4、填空题 (5分)A、B、C、D、E五种物质均含有同一种元素,它们能发生如下图所示的变化。
写出五种物质的化学式:A______B_______C_______D_______E__________
5、填空题 (10分)下图涉及的物质所含元素中,除一种元素外,其余均为短周期元素。已知:A、F为无色气体单质,B为具有刺激性气味的气体,C为黑色氧化物,E为红色金属单质(部分反应的产物未列出)。请回答下列问题:
(1)B的电子式为?????????????;
(2)写出B和C反应的化学方程式?????????????????????????????;
(3)写出E与G的稀溶液的离子方程式,写出电子转移数目:???????????,???????;
(4)汽车尾气中常含有D和CO,二者在催化剂作用下可以大部分转化为两种对空气无污染的物质,已知:F(g) + A(g) =" 2D" (g) ;△H =" +180.5KJ/mol"
2C (s)+ O2 (g)=" 2CO(g)" ;△H =" -221.0" KJ/mol
C (s)+ O2(g) = CO2(g);△H =" -393.5" KJ/mol
则上述尾气转化的热化学方程式为:?????????????????????????。