时间:2016-12-24 00:17:03
填空题  如图所示,甲、乙两装置电极材料都是铁棒与碳棒,请回答下列问题:
(1)若两装置中均为CuSO4溶液,反应一段时间后:
①有红色物质析出的是甲装置中的       棒,乙装置中的       棒。
②乙装置中阳极的电极反应式是:                                            。
(2)若两装置中均为饱和NaCl溶液:
①写出乙装置中总反应的离子方程式:                                        。
②甲装置中碳极的电极反应式是                 ,乙装置碳极的电极反应属于     (填“氧化反应”或“还原反应”)。
③将湿润的淀粉KI试纸放在乙装置碳极附近,发现试纸变蓝,解释其原因:                                    。
填空题  如图所示,甲、乙两装置电极材料都是铁棒与碳棒,请回答下列问题:
(1)若两装置中均为CuSO4溶液,反应一段时间后:
①有红色物质析出的是甲装置中的       棒,乙装置中的       棒。
②乙装置中阳极的电极反应式是:                                           。
(2)若两装置中均为饱和NaCl溶液:
①写出乙装置中总反应的离子方程式:                                        。
②甲装置中碳极的电极反应式是                 ,乙装置碳极的电极反应属于     (填“氧化反应”或“还原反应”)。
③将湿润的淀粉KI试纸放在乙装置碳极附近,发现试纸变蓝,解释其原因:                                 60;   。
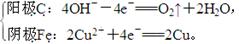
本题答案:(1)①碳 铁 ②4OH--4e-=2H2O+O2↑
本题解析:甲为原电池,乙为电解池。
(1)若两装置中均为CuSO4溶液,则:
甲
乙
(2)若均为NaCl溶液,则:
甲
乙
本题所属考点:【电解池原理】
本题难易程度:【一般】