时间:2025-06-26 03:51:31
1、填空题 (5分)干电池是一种 的装置。干电池外围的锌皮是电池的 极,发生 (“氧化” 或“还原” )反应;中间碳棒是电池的 极,发生 (“氧化” 或“还原” )反应。
参考答案:原电池 。负 , 氧化 ;正__, ____ 还原反应 _
本题解析:略
本题难度:一般
2、选择题 某原电池的离子方程式是 Zn + Cu2+ = Zn2+ + Cu,该原电池正确的组成是
| ? | 正极 | 负极 | 电解质溶液 |
A. Cu Zn HCl B. Zn Cu CuSO4 C. Cu Zn CuSO4 D. Cu Zn ZnCl2 |
?原电池原理的应用:
1.比较不同金属的活动性强弱
根据原电池原理可知,在原电池反应过程中,一般活动性强的金属作负极,而活动性弱的金属(或能导电的非金属)作正极。
若有两种金属A和B,用导线将A和B连接后,插入到稀硫酸中,一段时间后,若观察到A极溶解,而B 极上有气体放出,说明在原电池工作过程中,A被氧化成阳离子而失去电子作负极,B作正极,则金属A的金属活动性比B强。
2.加快氧化还原反应的速率
因为形成原电池后,产生电位差,使电子的运动速率加快,从而使反应速率增大,如Zn与稀H2SO4反应制氧气时,可向溶液中滴加少量CuSO4溶液,形成Cu—Zn原电池,加快反应速率 3.用于金属的防护要保护一个铁制闸门,可用导线将其与一锌块相连,使锌作原电池的负极,铁制闸门作正极。
4.设计制作化学电源设计原电池时要紧扣构成原电池的条件。
(1)首先要将已知氧化还原反应拆分为两个半反应:
(2)然后根据原电池的电极反应特点,结合两个半反应找出正、负极材料(一般负极就是失电子的物质,正极用比负极活泼性差的金属或导电的非金属)及电解质溶液:
①电解质溶液的选择电解质溶液一般要能够与负极发生反应,或者能与电极产物发生反应。但如果两个半反应分别在两个容器中进行(中间连接盐桥),左右两个容器中的电解质溶液应选择与电极材料相同的阳离子。如在铜一锌一硫酸铜构成的原电池中,负极金属锌浸泡在含有 Zn2+“的电解质溶液中,而正极铜浸泡在含有Cu2+的溶液中.
②电极材料的选择在原电池中,选择较活泼的金属或还原性较强的物质作为负极,较不活泼的金属或能导电的非金属或氧化性较强的物质作为正极。一般,原电池的负极能够与电解质溶液反应,容易失去电子,因此负极一般是活泼的金属材料(也可以是还原性较强的非金属材料如H2、CH4等)。
(3)举例根据以下反应设计原电池:
原电池的构成条件:?
(1)活泼性不同的两个电极。
(2)电解质溶液,一般能与较活泼金属自发地进行氧化还原反应。
(3)形成闭合回路。
原电池中盐桥的作用:
盐桥中的盐溶液是电解质溶液(通常装有含琼胶的KCl饱和溶液),能使两烧杯中的溶液连成一个通路。通过盐桥中阴、阳离子的定向移动(阳离子移向正极,阴离子移向负极)维持两个半电池的电中性,以使原电池连续工作。盐桥将氧化还原反应的两个半反应隔开进行,能提高原电池的工作效率,减缓电流衰减。



原电池中的电荷流动:
在外电路(电解质溶液以外),电子(负电荷)由负极经导线(包括电流表和其他用电器)流向正极,使负极呈正电性趋势、正极呈负电性趋势。在内电路(电解质溶液中),阳离子(带正电荷)向正极移动,阴离子 (带负电荷)向负极移动。这样形成了电荷持续定向流动,电性趋向平衡的闭合电路。
| 试题ID | 试题题文 |
|---|
参考答案:C
本题解析:略
本题难度:简单
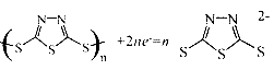
3、选择题 硫一钠原电池具有输出功率较高、循环寿命长等优点。其工作原理可表示为:
。但工作温度过高是这种高性能电池的缺陷。科学家研究发现,采用多硫化合物[如
]作为电极反应材料,可有效地降低电池的工作温度,且原材料价廉、低毒,具有生物降解性。下列关于此种多硫化合物的叙述正确的是
A.这是一种新型无机非金属材料
B.此化合物可能发生加成反应
C.原电池的负极反应将是单体
转化为
t的过程
D.当电路中转移0.02mol电子时,将消耗原电池的正极反应材料1.48g
参考答案:BD
本题解析:因结构中存在碳氮双键,故能发生加成反应;正极反应为
而单体(
)的相对分子质量为l48,故B、D两项正确。
本题难度:一般
4、选择题 分析下图所示的四个原电池装置,其中结论正确的是
A.①②中Mg作为负极,③④中Fe作为负极
B.②中Mg作为正极,电极反应式为6H2O + 6e-
参考答案:
本题解析:
本题难度:一般
5、填空题 (13分)(1)用活性炭还原法可以处理氮氧化物。某研究小组向某密闭容器中加入一定量的活性炭和NO,发生反应C(s)+2NO(g)
N2(g)+CO2(g) △H="Q" kJ·mol-1。在T1℃时,反应进行到不同时间测得各物质的浓度如下:
浓度 | 0 | 10 | 20 | 30 | 40 | 50 |
| NO | 1.00 | 0.68 | 0.50 | 0.50 | 0.60 | 0.60 |
| N2 | 0 | 0.16 | 0.25 | 0.25 | 0.30 | 0.30 |
| CO2 | 0 | 0.16 | 0.25 | 0.25 | 0.30 | 0.30 |
参考答案:(13分)
(1)①0.032mol·L-1·min-1(2分,无单位或单位错误扣1分),0.25 (2分)
②ad(2分,选对一个给1分,错选不给分);
③<(2分); ④bc(2分,选对一个给1分,错选不给分);
(2)氧化 (1分) SO2 + 2H2O-2e-===SO42-+4 H+ (2分)
本题解析:(1)①0~10min内,NO的平均反应速率v(NO)=(1.00-0.68)mol/L/10min=0.032mol·L-1·min-1 ;反应进行到20min时反应达到平衡状态,各物质的平衡浓度表中已知,所以T1℃时,该反应的平衡常数K=0.25×0.25/0.502=0.25;
②30min后,只改变某一条件,反应重新达到平衡,各物质的浓度比原平衡都增大了。a、通入一定量的NO,平衡正向移动,再达平衡时,各物质的浓度均增大,正确;b、活性炭是固体,对平衡无影响,错误;c、加入合适的催化剂,只改变反应速率,不改变平衡,浓度不变,错误;D、缩小容器的体积,压强增大,但平衡不移动,各物质的浓度均增大,正确,答案选ac;
③现在的平衡体系中NO、N2、CO2的浓度之比为2:1:1,升高温度至T2℃,达到平衡时,容器中NO、N2、CO2的浓度之比为3:1:1,说明NO的浓度增大,升高温度,平衡逆向移动,所以正向是放热反应,Q<0;
④a、单位时间内生成2n mol NO(g)的同时消耗n mol CO2(g),都表示逆反应速率,不能判断平衡的到达,错误;b、该反应有固体参加,所以气体的质量一直改变,而气体的物质的量一直不变,额气体的平均相对分子质量一直在变,所以达到平衡时混合气体的平均相对分子质量不再改变,正确;c、容器的体积不变,而气体的质量变化,所以混合气体的密度发生变化,达到平衡时混合气体的密度不再发生改变,正确;d、该反应是气体的物质的量不变的可逆反应,所以压强一直不变,不能判断平衡的达到,错误,答案选bc;
(2)该装置是原电池装置,用二氧化硫生成硫酸,则二氧化硫中S的化合价升高,发生氧化反应;电解质溶液为稀硫酸,则二氧化硫发生 氧化反应的电极反应式为SO2 + 2H2O-2e-===SO42-+4 H+ 。
考点:考查化学平衡理论的应用,原电池的反应原理的应用
本题难度:一般