时间:2025-06-26 00:07:54
1、填空题 在现代炊具中,不粘锅的内涂层是号称“塑料王”的聚四氟乙烯。这种物质在耐热性和化学稳定性方面的性能都超过了其他塑料,在工业上也有着广泛的用途,其合成路线如下所示。

参考答案:(1)CHCl3 ;CHClF2 ;CF2 =CF2 ;
(2) 2CHClF2
CF2=CF2+2HCl ;分解反应;
;加聚反应
本题解析:
本题难度:一般
2、推断题 已知:C是一种合成树脂,用于制备塑料和合成纤维,D是一种植物生长调节剂,用它可以催熟果实。根据以下化学反应框图填空: 
(1)写出A的电子式_________ ;C的结构简式_________ 。
(2)写出苯和液溴反应生成E的化学方程式____________ 。
(3)由A→D的反应类型为____________ 。
(4)鉴别D与甲烷,应采用的试剂是______________ 。
参考答案:(1)
;
(2)
(3)加成反应
(4) 溴水(或酸性高锰酸钾溶液等)
本题解析:
本题难度:一般
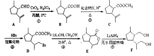
3、填空题 (15分)化合物F是有效的驱虫剂。其合成路线如下:
(1)化合物A的官能团为?和?。(填官能团的名称)
(2)反应③的反应类型是?。
(3)在B—C的转化中,加入化合物X的结构简式为?。
(4)写出同时满足下列条件的E(C10H16O2)的一种同分异构体的结构简式:?。
Ⅰ.分子中含有六元碳环;Ⅱ.分子中含有两个醛基。
(5)已知:
化合物
是合成抗癌药物白黎芦醇的中间体,请写出以
和
为原料制备该化合物的合成路线流程图(无机试剂任用)。合成路线流程图示例如下:
参考答案:(1)醛基、碳碳双键(4分)?(2)加成反应(2分)
(3)CH3OH(2分)(4)
(或其它合理答案)(2分)
(全部正确的得5分;若有错误,每有一步正确的给1分)
本题解析:(1)根据A的结构简式可知,化合物A的官能团为碳碳双键和醛基。
(2)C生成D的反应中,碳碳双键变成碳碳单键,因此是加成反应。
(3)根据C的结构简式可知,反应②是酯化反应,所以X是甲醇,结构简式为CH3OH。
(4)分子中含有两个醛基,所以六元环中不存在双键,全部是单键,所以结构简式可以是
(可以改变取代基的位置,或者是1个乙基)。
(5)本题考查有机物的合成,一般采用逆推法。根据已知的信息和反应②⑤可知,合成路线是(见答案)。
本题难度:一般
4、填空题 某有机物A有C、H、O三种元素组成,现取18g A在足量O2中充分燃烧,将燃烧产物全部依次通过无水氯化钙和碱石灰后,固体质量的增加依次为10.8g和26.4g,
求:(1)A的最简式是______
(2)若常温下A是气体,则A的结构简式是______
(3)若A低于16℃时是无色晶体,且有酸性.则A的分子式是______
(4)若0.1molA含9.6g氧,且在酒化酶的作用下能转化成酒精,则A的名称为______.
参考答案:无水氯化钙增重的质量为水的质量,n(H2O)=10.8g18g/mol=0.6mol,碱石灰增重的质量为CO2的质量,n(CO2)=26.4g44g/mol=0.6mol,则有机物中m(C)=0.6mol×12g/mol=7.2g,m(H)=1.2g,m(O)=18g-7.2g-1.2g=9.6g,所以18g有机物中含有n(O)=9.6g16g/mol=0.6mol,则有机物中N(C):N(H):N(O)=0.6:1.2:0.6=1:2:1,最简式为CH2O,最简式为CH2O的有甲醛、乙酸、葡萄糖等,
(1)由以上分析可知该有机物的最简式为CH2O,故答案为:CH2O;
(2)若常温下A是气体,应为甲醛,结构简式是HCHO,故答案为:HCHO;
(3)若A低于16℃时是无色晶体,且有酸性,应为乙酸,分子式为C2H4O2,故答案为:C2H4O2;
(4)若0.1molA含9.6g氧,即0.6mol,说明分子中含有6个O,分子式为C6H12O6,且在酒化酶的作用下能转化成酒精,应为葡萄糖,
故答案为:葡萄糖.
本题解析:
本题难度:简单
5、填空题 工业上用甲苯为原料生产对一羟基苯甲酸乙酯 (一种常用的化妆品防腐剂)。其生产过程如下图所示(反应条件未全部注明):?

参考答案:(1) 
(2)
+C2H5OH
+H2O
(3)取代反应 ;氧化反应
(4)
+CH2I→
+HI
(5)保护酚羟基不被氧化
(6)19
本题解析:
本题难度:一般