时间:2025-06-25 23:39:23
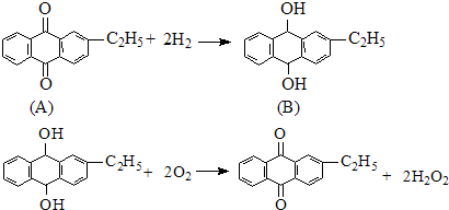
1、选择题 “绿色化学”是当今社会人们提出的一个新概念,“绿色化学”工艺中原子利用率为100%.工业上可用乙基蒽醌(A)经两步反应制备H2O2,其反应可简单表示如下(条件省略):
下列有关说法不正确的是( )
A.上述工业生产消耗的原料是H2、O2和乙基蒽醌
B.该法生产H2O2符合“绿色化学工艺”的要求
C.乙基蒽醌(A)的作用相当于催化剂,化合物(B)属于中间产物
D.第1反应中乙基蒽醌(A)发生还原反应,第2个反应中化合物(B)发生氧化反应
参考答案:A
本题解析:
本题难度:一般
2、推断题 已知:
止咳酮(V)具有止咳祛痰作用。它能由化合物III合成:
(1)化合物I的分子式为__________,化合物III的含氧官能团名称为___________(写一种)。
(2)反应①的反应类型为___________,反应③的反应类型为______________。
(3)化合物II与足量H2在—定条件下加成后的产物能与NaOH溶液反应,该反应方程式为__________________________________________。
(4)满足下列条件的IV的同分异构体的结构简式为_____________________。
①苯环上只有两个处于对位的取代基;? ②能发生银镜反应;
③核磁共振氢谱有四组吸收峰
(5)化合物II也能发生类似②反应得到一种常见的有机溶剂,该物质结构简式为_____。
参考答案:(16分)(1)C8H9Br(2分)?羰基或酯基(任写一种)(2分)注:写错别字扣1分
(2)取代反应(2分)?加成反应(2分)?注:不写“反应”二字合扣1分。
(3)
?(3分)
注:条件不写加热符号扣1分,不写“H2O”不扣分:反应物写H2O,生成物-COONa
写成-COOH的,其它正确(写成酸性条件下水解)的给1分
(4)
?(3分)
(5)CH3COCH3(2分,写“CH3CH2OH”也给分)
本题解析:(1)由化合物I由四种原子团构成,分别为Br-、-CH2-、-C6H4-、-CH3,则I的分子式为C8H9Br;化合物III含有两种官能团,分别是羰基或酮基、酯基;(2)对比两种反应物和一种生成物的结构简式可知,①为取代反应,I断开碳溴键、II断开中间CH2原子团中的碳氢键,所得四种原子团重新组合成III和HBr;对比IV、V的结构简式可知,③为加成反应,IV中的碳氧双键断开一个键后,-H、-SO3Na分别加到氧原子和碳原子上;(3)II含有羰基或酮基、酯基,根据官能团的性质可知,前者在一定条件下与H2能发生加成反应或还原反应,则II变为含有醇羟基和酯基的CH3CHOHCH2COOC2H5,再根据官能团的性质可知,1mol CH3CHOHCH2COOC2H5最多能与1molNaOH发生水解反应或取代反应,生成1molCH3CHOHCH2COONa和1molHOC2H5或C2H5OH;(4)根据题意可知,苯环上有两种氢原子,则两个处于相对位置的取代基中都只有1种氢原子,则其中一个取代基一定是醛基,另一个只有一种氢原子的取代基的化学式为-C4H9,根据等效氢的方法推断,其结构简式一定为-C(CH3)3,由此可以确定符合要求的同分异构体的结构简式;(5)对比反应②的反应物和产物的结构简式可知,该反应先是酯基的水解反应,得到乙醇和羧酸钠,然后是羧酸钠与强酸反应,得到羧酸,最后发生脱羧反应,羧基失去CO2、剩余氢原子;由此推断,II先水解可以得到的一种有机熔剂是HOC2H5或C2H5OH,再酸化、脱羧后得到的另一种有机熔剂是CH3COCH3,乙醇和丙酮都是常见的有机溶剂。
本题难度:困难
3、填空题 (10分)M是生产某新型塑料的基础原料之一,分子式为C10H10O2,分子模型如图所示
(图中球与球之间连线代表化学键单键或双键)。
拟从芳香烃
出发来合成M,路线如下:
已知:M在酸性条件下水解生成有机物F和甲醇。
(1)根据分子结构模型写出M的结构简式?。
(2)写出②、⑤反应类型分别为?、?。
(3) D中含氧官能团的名称为?,E的结构简式??。
(4)写出反应⑥的化学方程式(注明必要的条件)
?。
参考答案:(10分,除标注外,其余每空2分)
本题解析:略
本题难度:简单
4、推断题 已知有机物A、B、C、D、E、F有以下转化关系。A为气态烃,标况下的密度为1.25g/L;E是不溶于水且具有香味的无色液体,相对分子质量是C的2倍;F?为高分子化合物。结合下图关系回答问题:
(1)写出C的结构简式:??;
(2)写出B、D中官能团的名称:B?、D?;
(3)写出下列反应的化学方程式:
②?;
④?;
(4)写出C与新制氢氧化铜悬浊液反应的化学方程式?;
(5)物质B可以直接被氧化为D,需要加入的试剂是?;
(6)A与苯、甲苯都是石油化工的重要产品,按要求回答下列问题:
甲苯可以发生取代反应,写出由甲苯制备TNT.的化学方程式?。
参考答案:(14分)(1)CH3CHO? (2) 羟基?羧基
(3)②2CH3CH2OH? +O2
?2CH3CHO + 2H2O? ④CH3COOH+C2H5OH
CH3COOC2H5+H2O
(4)CH3CHO+2Cu(OH)2+NaOH
CH3COONa+3H2O+Cu2O↓
(5)酸性高锰酸钾或酸性重铬酸钾
(6)
本题解析:A为气态烃,标况下的密度为1.25g/L,则A的相对分子质量是1.25×22.4=28,所以A是乙烯。乙烯和水发生加成反应生成乙醇,即B是乙醇。乙醇发生催化氧化生成C,则C是乙醛。乙醇直接被氧化生成乙酸,即D是乙酸,乙醇和乙酸发生酯化反应生成乙酸乙酯,即E是乙酸乙酯。乙烯含有碳碳双键,能发生加聚反应生成聚乙烯,即F是聚乙烯。
(1)乙醛的结构简式是CH3CHO。
(2)乙醇中含有的官能团是羟基,乙酸中含有的官能团是羧基。
(3)反应②是乙醇的催化氧化,反应的化学方程式是2CH3CH2OH? +O2
?2CH3CHO + 2H2O。反应④是酯化反应,方程式是CH3COOH+C2H5OH
CH3COOC2H5+H2O。
(4)乙醛能被新制氢氧化铜悬浊液氧化,反应的化学方程式是CH3CHO+2Cu(OH)2+NaOH
CH3COONa+3H2O+Cu2O↓。
(5)酸性高锰酸钾或酸性重铬酸钾都具有强氧化性,可以直接将乙醇氧化生成乙酸。
(6)在催化剂都作用下,甲苯与浓硝酸和稀硫酸的混合液发生硝化反应生成TNT,反应的方程式是
。
点评:该题是基础性试题的考查,涉及烯、醇、酯等性质与转化,难度不大,是对有机知识的综合运用。有机推断是高考中的常见题型,每年高考中必考,经常给出某反应信息要求学生加以应用,能较好的考查考生的阅读、自学能力和思维能力,是热点题型,需要重点掌握。该题的突破点是乙烯。
本题难度:一般
5、填空题 1992年世界新技术发明中的七项发明奖中有一项是关于 “结束PET塑料的烦恼”。软塑料瓶是聚对苯二甲酸乙二酯制成的,它的废料成为人们头痛的问题(垃圾),其处理方法 是将聚酯磨成粉末,然后加入甲醇进行醇解(酯交换),使 PET分解成小分子,其原理可用化学方程式表示:
?+ 2nCH3OH? 
+ nHOC2H4OH
若将分解得到的产物提纯后,再重新合成PET,写出反应的化学方程式(有机物写结构简式)和反应类型。
反应(1)____________,反应类型:___________。反应(2)______________,反应类型:____________。
参考答案:
+ 2H2O
?
+ 2CH3OH? ;水解反应
+ nHOCH2CH2OH
+ 2nH2O?;缩聚反应
本题解析:
本题难度:一般